Open Access

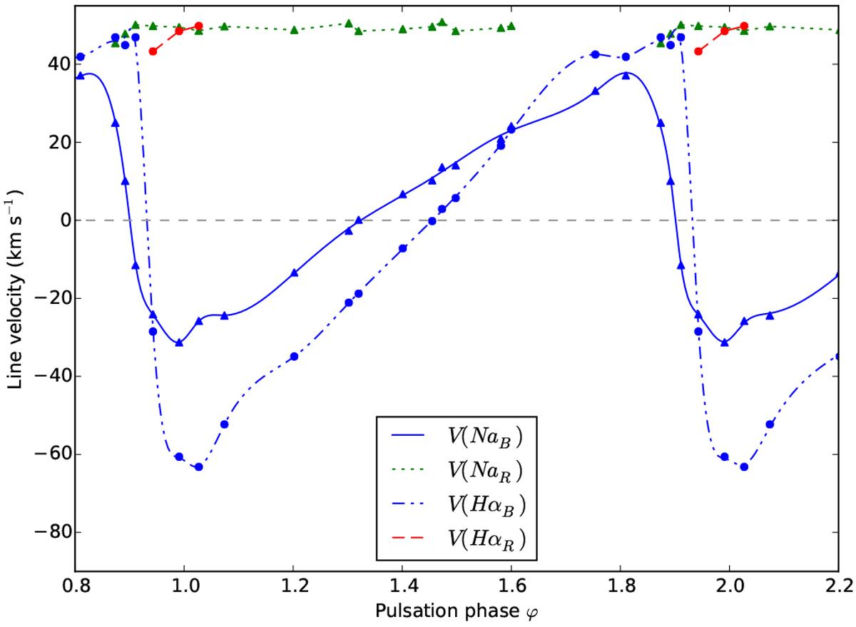
Fig. 7

image

Curves of velocity with respect to the stellar rest frame of the sodium and Hα over the pulsation phase φ = 0.8 to φ = 2.2. Shown are the blue components, V (NaB) (blue filled line) and V (HαB) (blue dot-dashed line), and their respective red components, V (NaR) (green dotted line) and V (HαR) (red dashed line). The mean uncertainty is ± 0.6 km s−1.

Current usage metrics show cumulative count of Article Views (full-text article views including HTML views, PDF and ePub downloads, according to the available data) and Abstracts Views on Vision4Press platform.

Data correspond to usage on the plateform after 2015. The current usage metrics is available 48-96 hours after online publication and is updated daily on week days.

Initial download of the metrics may take a while.