Open Access

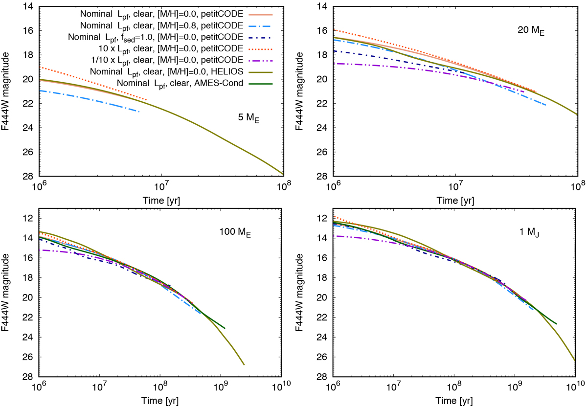
Fig. 11

image

Absolute magnitudes in JWST filter band F444W (JWST/NIRCam) for four different planetary masses and various atmosphere parameters and grids as well as a variation on post formation luminosity with a clear and solar metallicity petitCODE grid. The magnitudes are shown as long as they are in the atmosphere grid, and for the cloudy models (fsed = 1.0) as long as they are above 200 K.

Current usage metrics show cumulative count of Article Views (full-text article views including HTML views, PDF and ePub downloads, according to the available data) and Abstracts Views on Vision4Press platform.

Data correspond to usage on the plateform after 2015. The current usage metrics is available 48-96 hours after online publication and is updated daily on week days.

Initial download of the metrics may take a while.