Open Access

Fig. 8

image

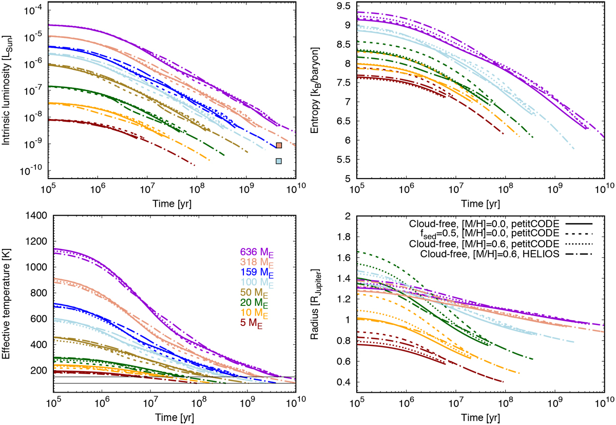
Temporal evolution of fundamental properties of the simulated planets with different metallicities and cloudy atmospheres. The colours represent different masses, where the colour code is given in the bottom left panel. The two squares in the top left panel indicate the luminosity of Jupiter and Saturn. Solid lines correspond to a cloud-free atmosphere with solar metallicity, dashed lines correspond to an atmosphere with clouds (fsed = 0.5) and solar metallicity (as in Fig. 6), dotted lines correspond to a cloud-free atmosphere with a metallicity [M/H] = 0.6, all of them using the petitCODE model. Dash-dotted lines indicate a cloud-free atmosphere with a metallicity [M/H] = 0.6 from the HELIOS grid. For better visibility, three resp. two planets are not shown in the entropy resp. radius plot. The horizontal lines at 100 and 150 K in the Teff plot show the lower limit of the HELIOS and petitCODE grid, respectively. The tracks are shown as long as the planet is evolving on the atmospheric grid.

Current usage metrics show cumulative count of Article Views (full-text article views including HTML views, PDF and ePub downloads, according to the available data) and Abstracts Views on Vision4Press platform.

Data correspond to usage on the plateform after 2015. The current usage metrics is available 48-96 hours after online publication and is updated daily on week days.

Initial download of the metrics may take a while.