Open Access

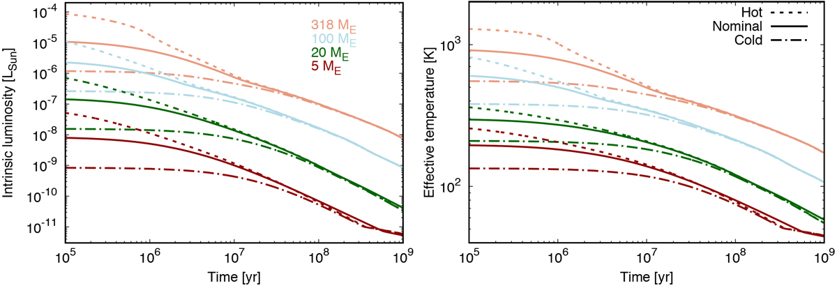
Fig. 9

image

Influence of varied post formation luminosity (Lpf) on the intrinsic luminosity and temperature for four different masses. The colour code is given in the left panel, the line style is given in the right panel. All cooling curves are calculated with a cloud-free atmosphere with solar metallicity in the petitCODE grid. Solid lines show the evolution with the nominal Lpf of Table 2. Dashed lines show the evolution with a ten times bigger Lpf (hot scenario). Dash-dotted lines show the evolution with a ten times fainter Lpf (cold scenario).

Current usage metrics show cumulative count of Article Views (full-text article views including HTML views, PDF and ePub downloads, according to the available data) and Abstracts Views on Vision4Press platform.

Data correspond to usage on the plateform after 2015. The current usage metrics is available 48-96 hours after online publication and is updated daily on week days.

Initial download of the metrics may take a while.