Open Access

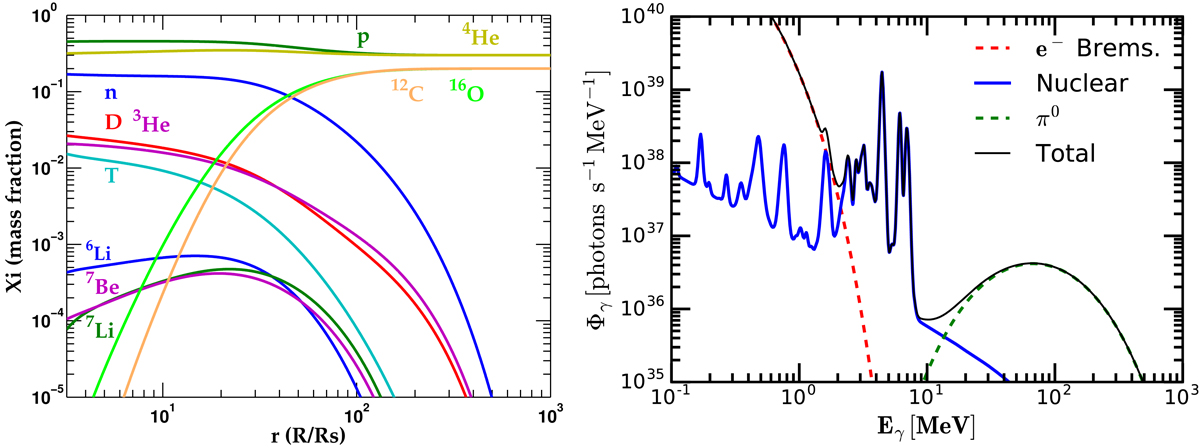
Fig. 5.

image

Same as Fig. 4 but for the initial composition with Xp = Xα = 0.3 and XC12 = XO16 = 0.2. The total luminosity in nuclear lines and continuum is LN = 8.8 × 1033 erg s−1, while the luminosity in π0-decay γ-rays is Lπ = 2.9 × 1035 erg s−1.

Current usage metrics show cumulative count of Article Views (full-text article views including HTML views, PDF and ePub downloads, according to the available data) and Abstracts Views on Vision4Press platform.

Data correspond to usage on the plateform after 2015. The current usage metrics is available 48-96 hours after online publication and is updated daily on week days.

Initial download of the metrics may take a while.