Free Access

Fig. 7.

image

Download original image

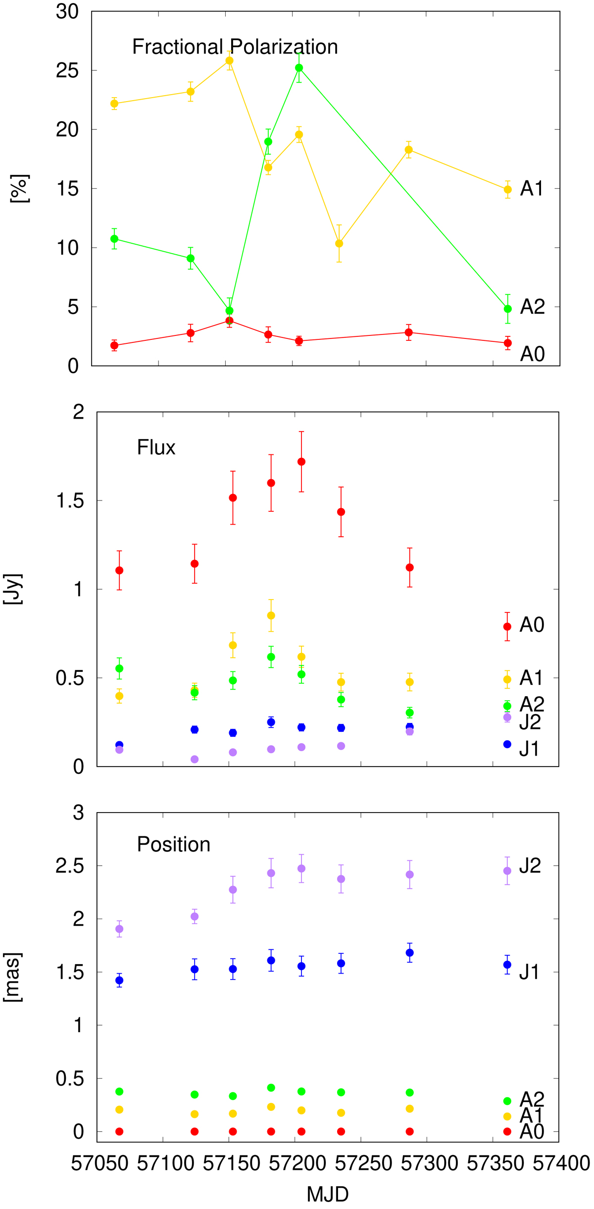
Evolution of polarization fraction (top), flux density (middle), and position (bottom) of the VLBA components as a function of time. We adopt a flux measurement uncertainty of 10%, which is typical for VLBA data, and the position error is estimated to be one fifth of the fitted Gaussian size. As the polarized intensity images in MJD 57235 and 57287 have a higher noise level (see Sect. 2.5), a polarization fraction could not be derived for all components in these epochs.

Current usage metrics show cumulative count of Article Views (full-text article views including HTML views, PDF and ePub downloads, according to the available data) and Abstracts Views on Vision4Press platform.

Data correspond to usage on the plateform after 2015. The current usage metrics is available 48-96 hours after online publication and is updated daily on week days.

Initial download of the metrics may take a while.