Free Access

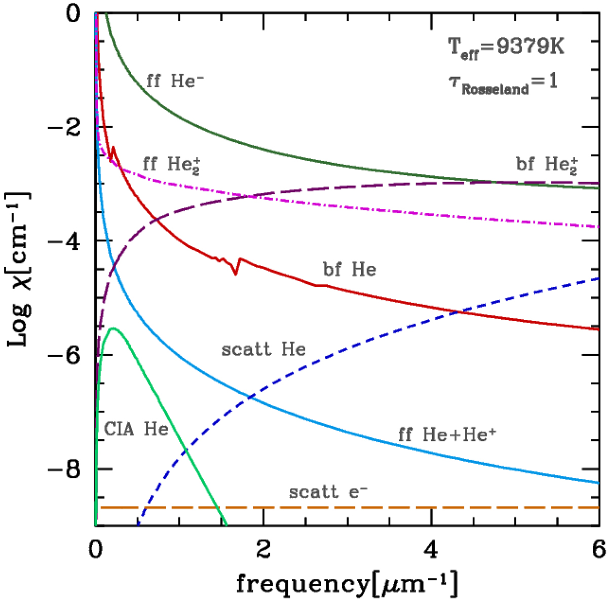
Fig. 4.

image

Individual opacity contributions at τRoss = 1 in a cool pure-He WD atmosphere. Dominant contributions are ff processes of He and and bf processes of . The ff contribution from He increases markedly at low frequencies and is responsible for shifting the emerging spectrum toward higher frequencies, causing it to appear hotter, i.e., TBB >  Teff.

Current usage metrics show cumulative count of Article Views (full-text article views including HTML views, PDF and ePub downloads, according to the available data) and Abstracts Views on Vision4Press platform.

Data correspond to usage on the plateform after 2015. The current usage metrics is available 48-96 hours after online publication and is updated daily on week days.

Initial download of the metrics may take a while.