Free Access

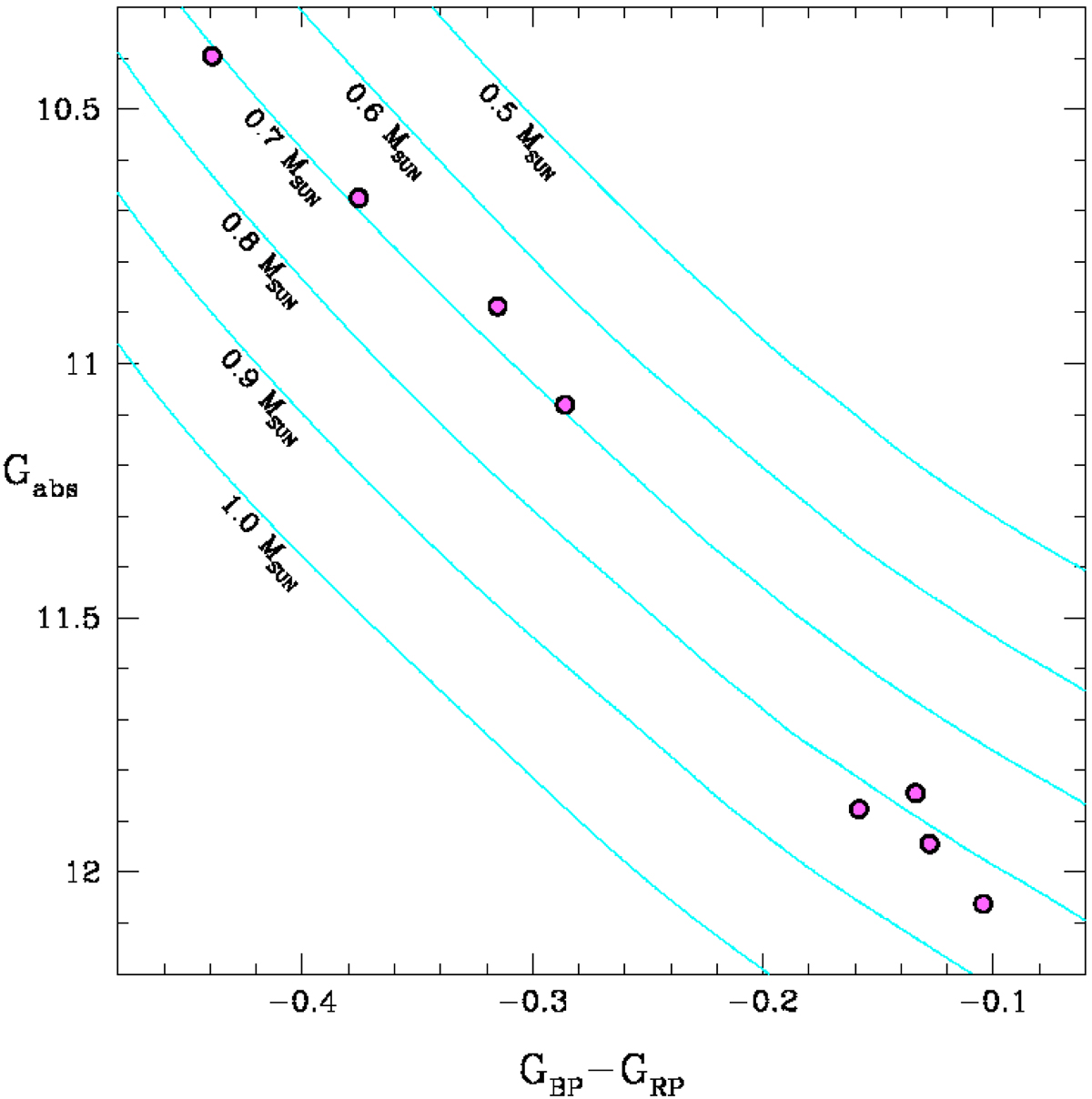
Fig. 7.

image

Absolute magnitude of the Hyades white dwarfs as a function of the GBP − GRP colour. The error bars, smaller than the symbols, are always lower than 0.011 and 0.008 in absolute magnitude and GBP − GRP colour respectively. The WD cooling tracks of Bergeron et al. (2011) for various masses are shown in light blue (see text for more details).

Current usage metrics show cumulative count of Article Views (full-text article views including HTML views, PDF and ePub downloads, according to the available data) and Abstracts Views on Vision4Press platform.

Data correspond to usage on the plateform after 2015. The current usage metrics is available 48-96 hours after online publication and is updated daily on week days.

Initial download of the metrics may take a while.