Free Access

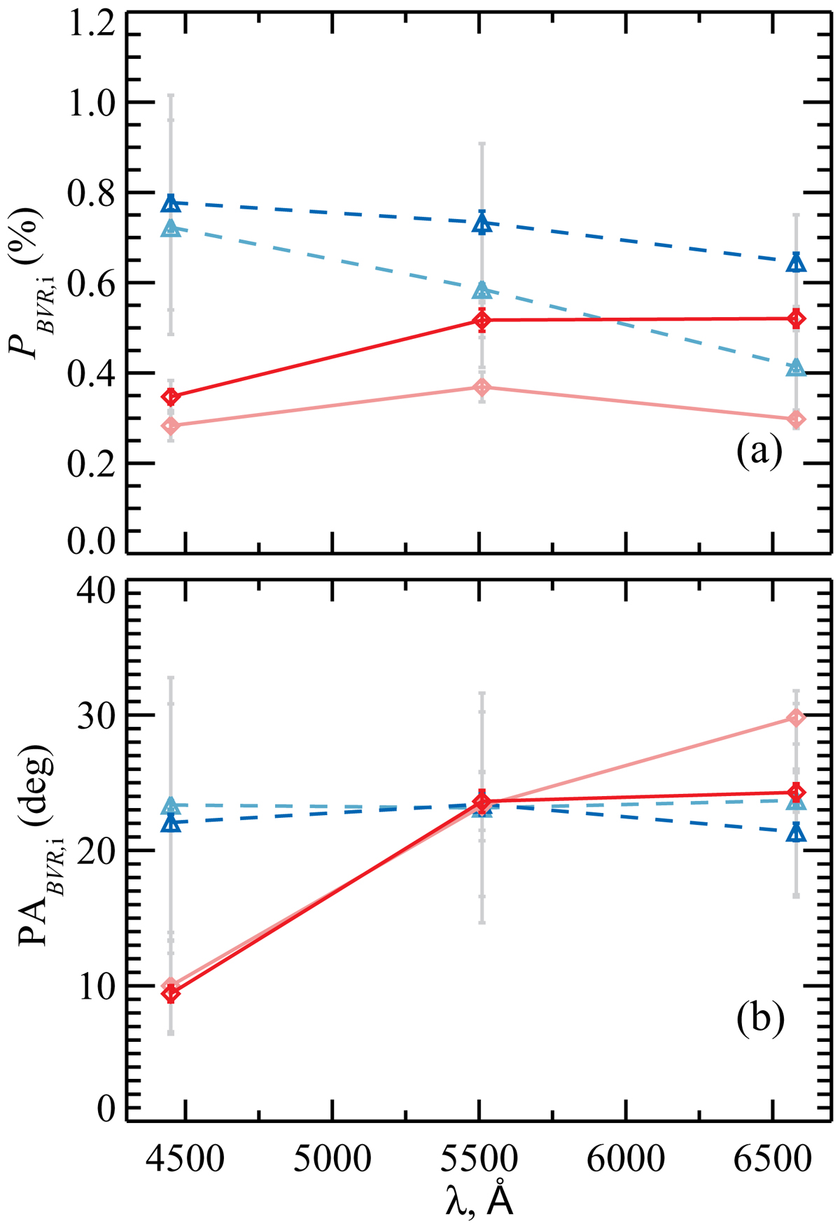
Fig. 12.

image

Wavelength dependence of the intrinsic polarisation degree (panel a) and PA (panel b). Weighted averages are shown with the pale and saturated colours for observations before and after MJD 58222, respectively. The blue dashed and red solid lines correspond to the intrinsic polarisation calculated using star 2 or the five-star average, respectively, to estimate the ISM polarisation. The values are given in Table 3. Coloured error bars correspond to the error of the source averages, and grey error bars also include the uncertainties of the ISM polarisation estimates.

Current usage metrics show cumulative count of Article Views (full-text article views including HTML views, PDF and ePub downloads, according to the available data) and Abstracts Views on Vision4Press platform.

Data correspond to usage on the plateform after 2015. The current usage metrics is available 48-96 hours after online publication and is updated daily on week days.

Initial download of the metrics may take a while.