Free Access

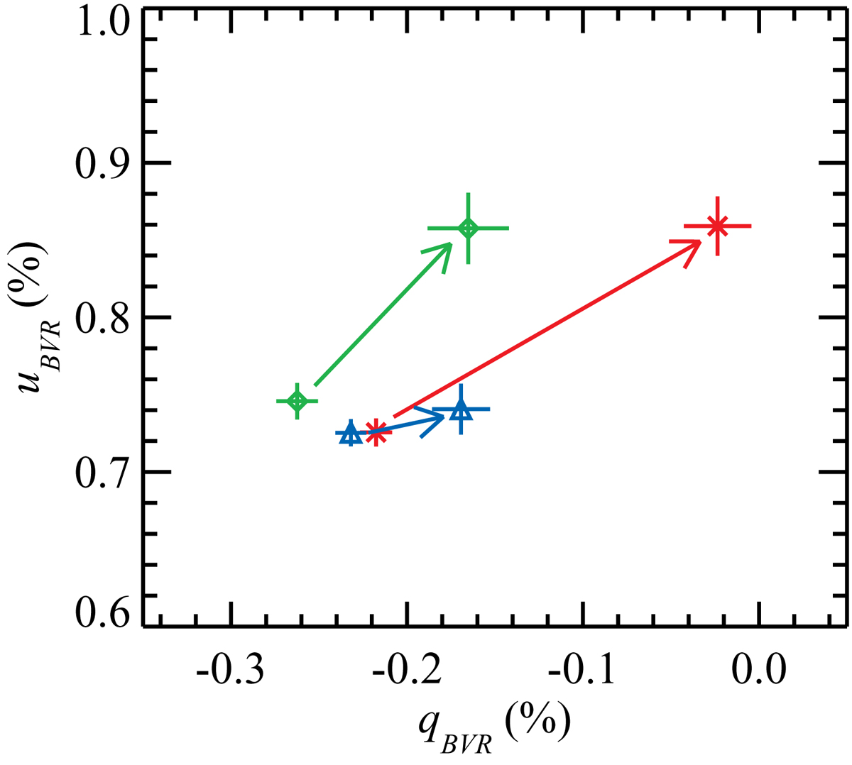
Fig. 4.

image

Change in observed polarisation in MAXI J1820+070. Symbols denote weighted-average polarisation before and after MJD 58222 in different filters: B (blue triangles), V (green diamonds), and R (red crosses). Arrows show the direction of the polarisation change. The vector of additional polarisation in the R filter is about 50% longer than that in the V filter.

Current usage metrics show cumulative count of Article Views (full-text article views including HTML views, PDF and ePub downloads, according to the available data) and Abstracts Views on Vision4Press platform.

Data correspond to usage on the plateform after 2015. The current usage metrics is available 48-96 hours after online publication and is updated daily on week days.

Initial download of the metrics may take a while.