Free Access

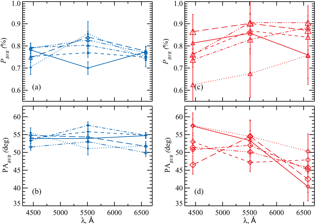
Fig. 5.

image

Spectral evolution of the polarisation degree and the PA before MJD 58222 (panels a, b) and after MJD 58222 (panels c, d). Line styles in the order of increasing date: solid, dotted, dashed, dot-dashed, triple-dot-dashed, long-dashed. Both P and PA show almost flat spectral dependence in panels a and b. The weak dependence of both P and PA on the wavelength is visible in panels c and d.

Current usage metrics show cumulative count of Article Views (full-text article views including HTML views, PDF and ePub downloads, according to the available data) and Abstracts Views on Vision4Press platform.

Data correspond to usage on the plateform after 2015. The current usage metrics is available 48-96 hours after online publication and is updated daily on week days.

Initial download of the metrics may take a while.