Free Access

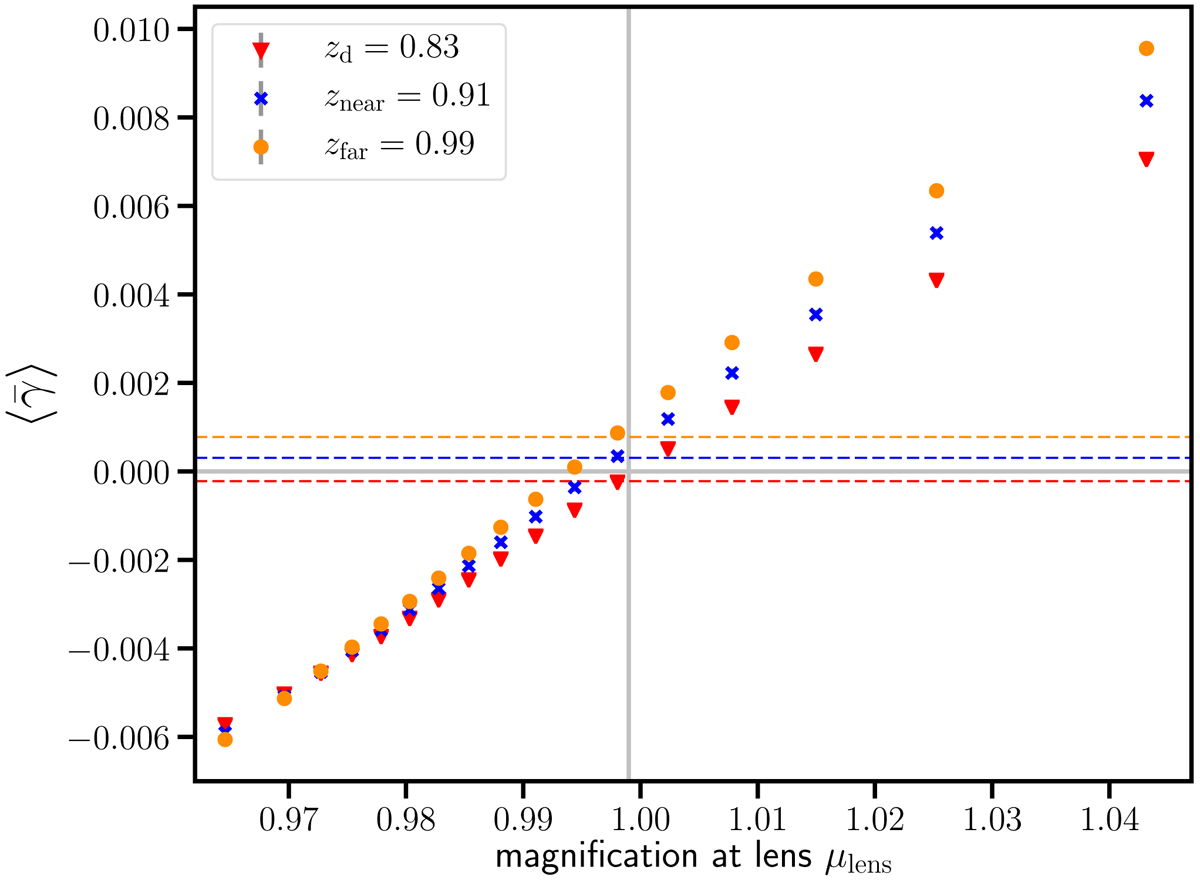
Fig. 3.

image

Shear estimate with and . A grey vertical line indicates the mean magnification of all lens galaxies. The lens galaxies have been binned in magnification with a roughly equal number of lenses in each bin. We omitted the two highest bins in magnification at mean magnification μlens  =  1.11 and μlens  =  1.6 for clarity. The dashed lines represent the mean shear estimates for all lenses. Due to the magnification effects of the intervening LSS the shear around lens galaxies at lens redshift (red triangles) differs from zero as does the red dashed line which is an approximate measure for in Eq. (14). A clear correlation between shear and magnification can be seen.

Current usage metrics show cumulative count of Article Views (full-text article views including HTML views, PDF and ePub downloads, according to the available data) and Abstracts Views on Vision4Press platform.

Data correspond to usage on the plateform after 2015. The current usage metrics is available 48-96 hours after online publication and is updated daily on week days.

Initial download of the metrics may take a while.