Open Access

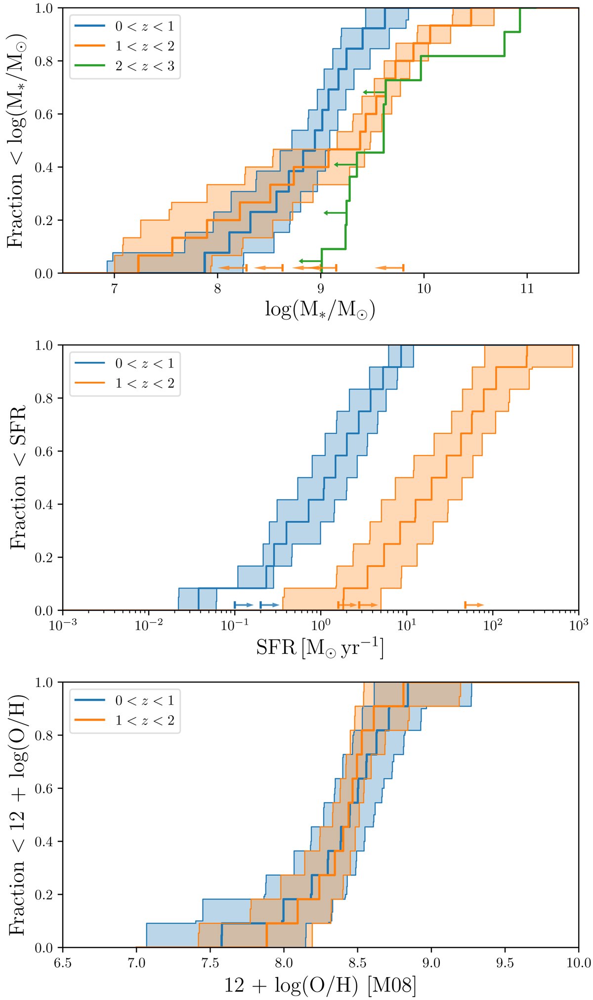
Fig. 1.

image

Cumulative distributions of stellar mass (upper panel), SFR (middle panel) and metallicity (bottom panel) for the hosts of the BAT6 sample at different redshift ranges. Upper and lower limits are represented as arrows at the bottom of the plots. The shaded area represents the 95% confidence interval around the CDFs. The methodology to create these CDFs is presented in Sect. 3.2.

Current usage metrics show cumulative count of Article Views (full-text article views including HTML views, PDF and ePub downloads, according to the available data) and Abstracts Views on Vision4Press platform.

Data correspond to usage on the plateform after 2015. The current usage metrics is available 48-96 hours after online publication and is updated daily on week days.

Initial download of the metrics may take a while.