Free Access

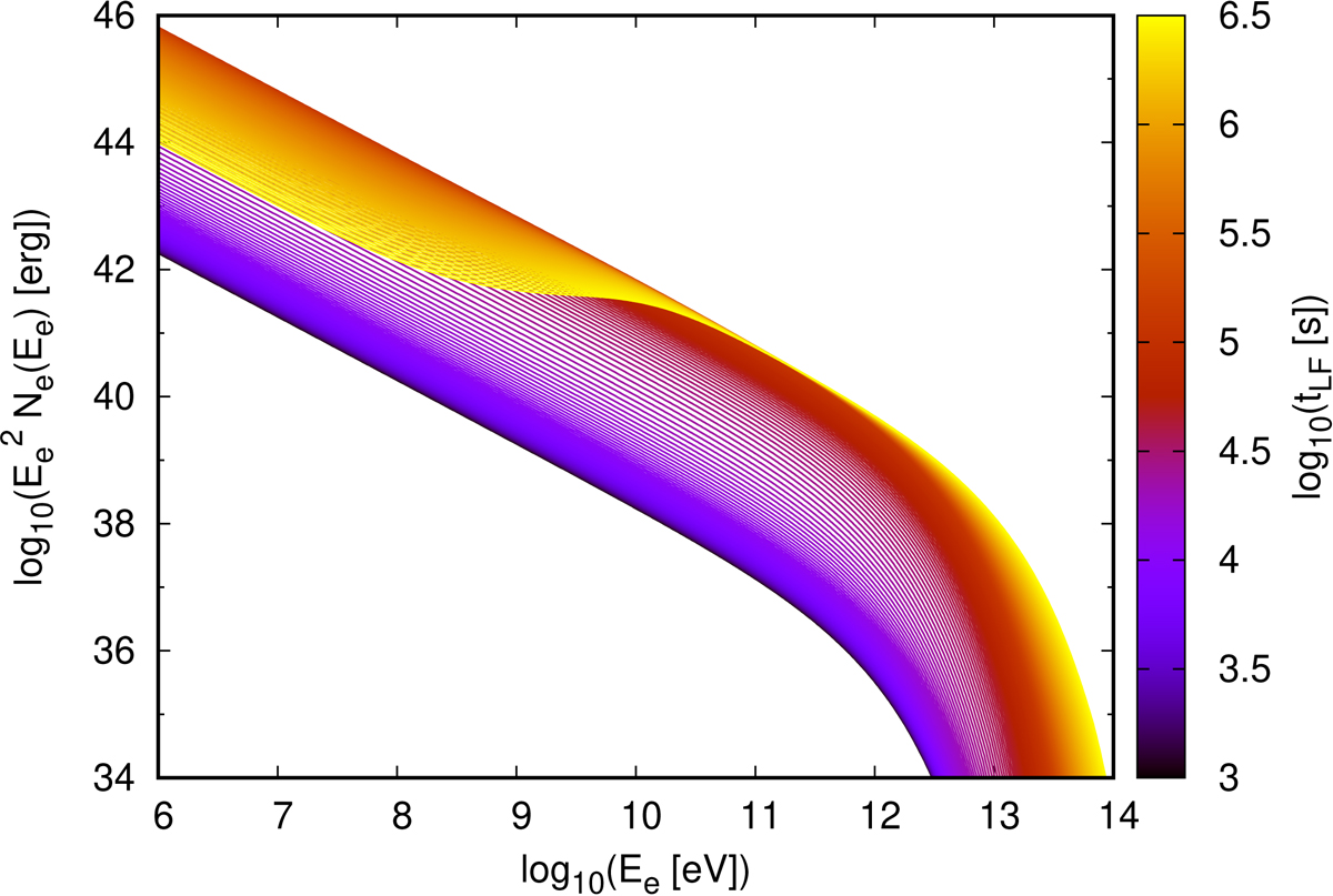
Fig. 4.

image

Relativistic electron energy distribution for different times in the LF during the JCI. The distribution is roughly , as expected when IC-Thomson or synchrotron losses are dominant. At tLF ∼ 106 s, the IC cooling for electrons with E′∼109 − 1010 eV occurs in the K-N regime, which leads to a hardening in the electron distribution up to energies at which synchrotron cooling takes over and softens the particle distribution.

Current usage metrics show cumulative count of Article Views (full-text article views including HTML views, PDF and ePub downloads, according to the available data) and Abstracts Views on Vision4Press platform.

Data correspond to usage on the plateform after 2015. The current usage metrics is available 48-96 hours after online publication and is updated daily on week days.

Initial download of the metrics may take a while.