Free Access

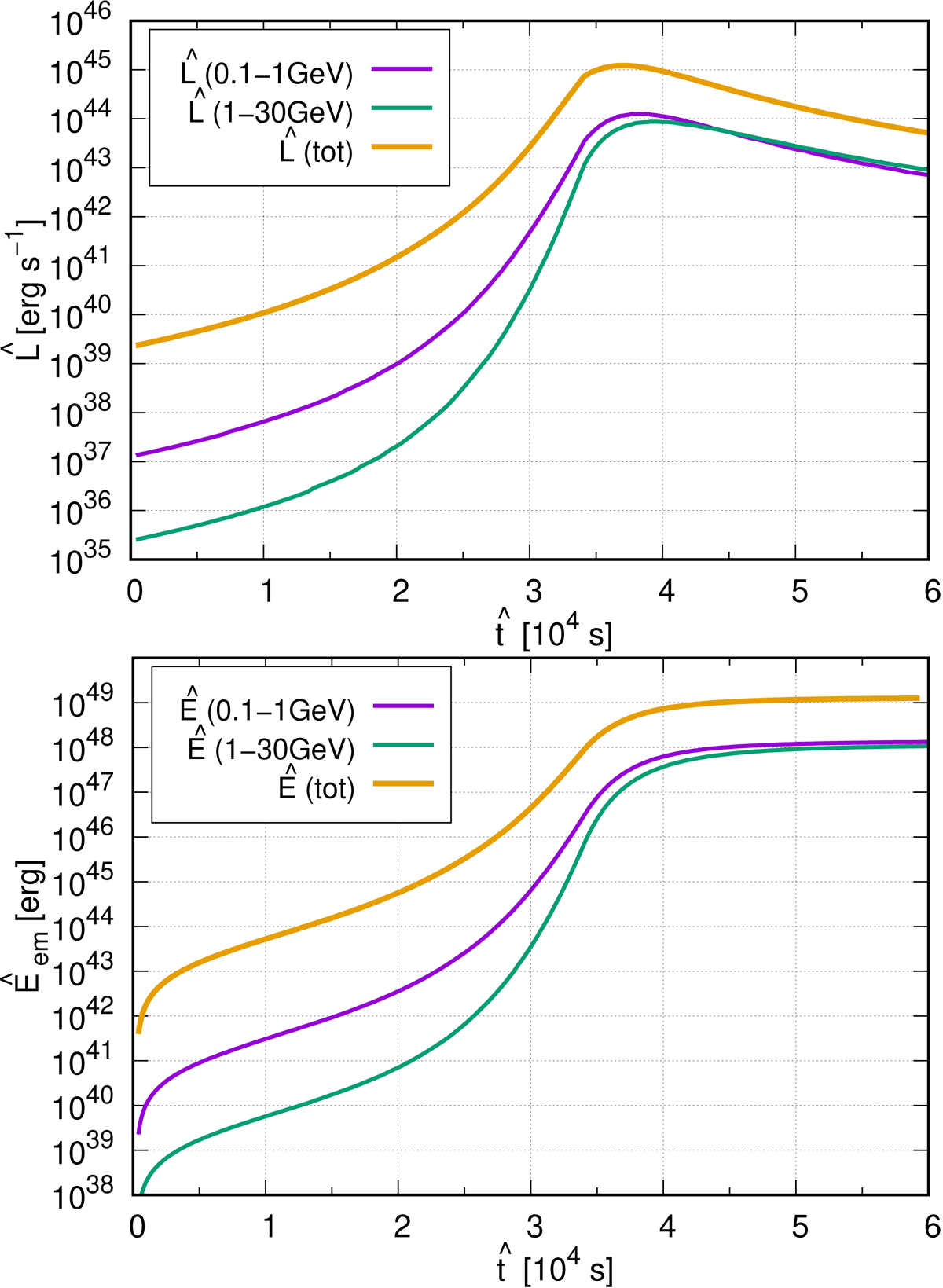
Fig. 7.

image

Luminosity (top panel) and integrated luminosity (i.e. radiated energy; bottom panel) in the OF as a function of time, for different energy bands. The majority of the observed emission occurs between s and s, in the range 0.1 − 30 GeV. The γ-γ absorption has a dramatic effect on photon energies above 30 GeV.

Current usage metrics show cumulative count of Article Views (full-text article views including HTML views, PDF and ePub downloads, according to the available data) and Abstracts Views on Vision4Press platform.

Data correspond to usage on the plateform after 2015. The current usage metrics is available 48-96 hours after online publication and is updated daily on week days.

Initial download of the metrics may take a while.