Free Access

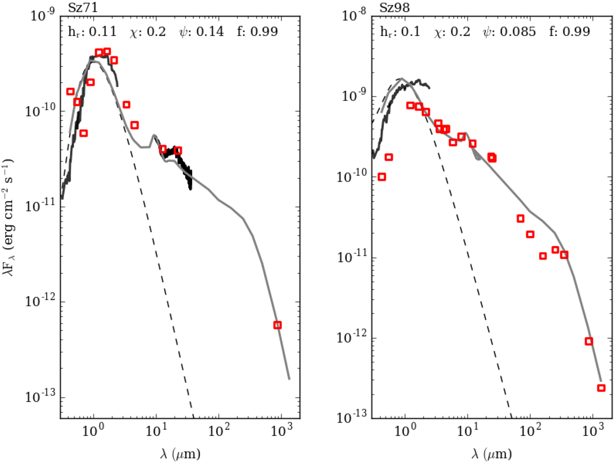
Fig. C.1

image

DALI SEDs and model parameters for the fiducial disk models. The preferred model is in gray, X-shooter and IRS spectra are solid black lines, broadband continuum data are open red symbols, and the black dashed lines the input stellar photospheres.

Current usage metrics show cumulative count of Article Views (full-text article views including HTML views, PDF and ePub downloads, according to the available data) and Abstracts Views on Vision4Press platform.

Data correspond to usage on the plateform after 2015. The current usage metrics is available 48-96 hours after online publication and is updated daily on week days.

Initial download of the metrics may take a while.