Open Access

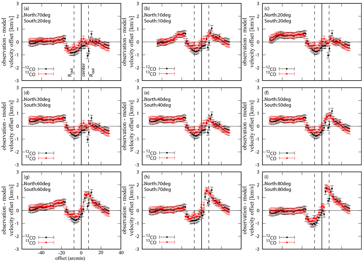
Fig. B.1

image

Velocity offset as a function of position between the model and 12CO (1–0)/13CO (1–0) in the PV diagrams. The assumed inclination angles for the sheet in the model are indicated in the top left corner of each panel. Black and red indicate the velocity differences between the model and 12 CO (1–0) data and between the model and 13CO (1–0) data, respectively.

Current usage metrics show cumulative count of Article Views (full-text article views including HTML views, PDF and ePub downloads, according to the available data) and Abstracts Views on Vision4Press platform.

Data correspond to usage on the plateform after 2015. The current usage metrics is available 48-96 hours after online publication and is updated daily on week days.

Initial download of the metrics may take a while.