Free Access

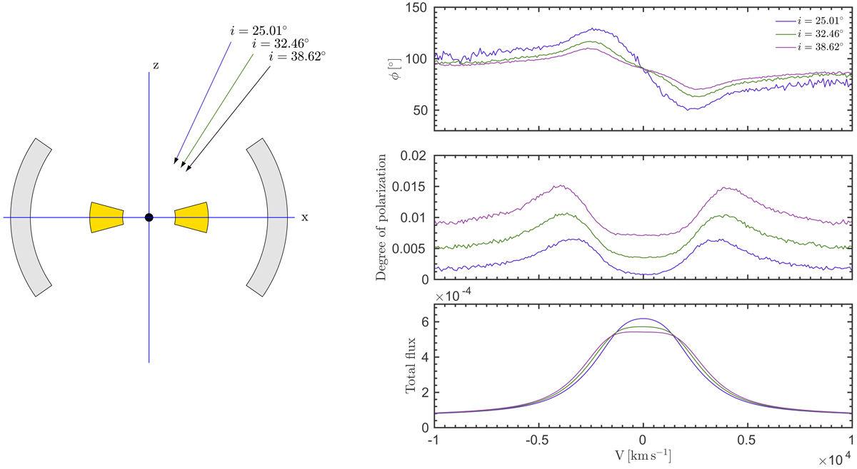
Fig. 5.

image

Left panel: illustration of the model with a single SMBH in the center surrounded by a BLR (yellow) and the scattering region (gray) is shown. Right panel: profiles of polarization angle (top panel), the degree polarization (middle panel), and the total flux (bottom panel) when viewed from two intermediate inclinations. The polarization angle is given in degrees (°). We point out that the degree of polarization is given as fraction units and is lower than the ones we obtain in the following section due to the different size and optical depth of the scattering region. The total flux is given in arbitrary units. Model parameters are the same as the ones given by Savić et al. (2018).

Current usage metrics show cumulative count of Article Views (full-text article views including HTML views, PDF and ePub downloads, according to the available data) and Abstracts Views on Vision4Press platform.

Data correspond to usage on the plateform after 2015. The current usage metrics is available 48-96 hours after online publication and is updated daily on week days.

Initial download of the metrics may take a while.