Free Access

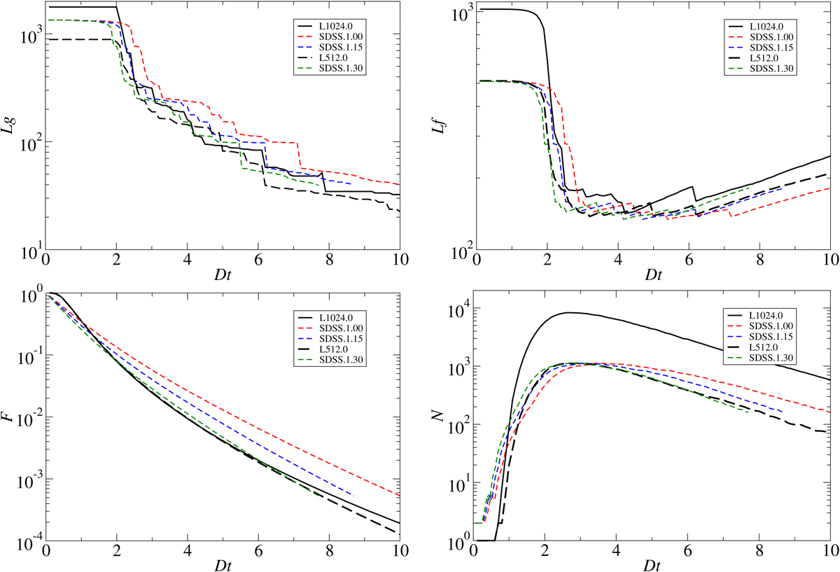
Fig. 3.

image

Comparison of percolation functions of L1024.0 and L512.0 models with SDSS samples. Model L1024.0 functions are plotted with bold lines and model L512.0 functions with bold dashed lines. Functions for SDSS samples are plotted with coloured dashed lines for biasing parameter values 1.00, 1.15, 1.30. Upper left panel: geometrical length functions, upper right panel: fitness length functions, lower left panel: total filling factor functions, and lower right panel: number functions.

Current usage metrics show cumulative count of Article Views (full-text article views including HTML views, PDF and ePub downloads, according to the available data) and Abstracts Views on Vision4Press platform.

Data correspond to usage on the plateform after 2015. The current usage metrics is available 48-96 hours after online publication and is updated daily on week days.

Initial download of the metrics may take a while.