Free Access

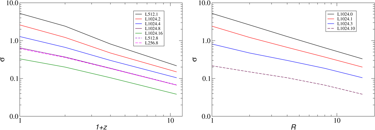
Fig. 5.

image

Left panel: change of the dispersion of density fluctuations σ with cosmic epoch z for our models. In this panel we designated models as follows: L1024.i, L512.i, or L256.i, where i = RB is the smoothing kernel radius in h−1 Mpc. Right panel: dependence of σ on density field smoothing length RB; here index i = z in model designation denotes the redshift z.

Current usage metrics show cumulative count of Article Views (full-text article views including HTML views, PDF and ePub downloads, according to the available data) and Abstracts Views on Vision4Press platform.

Data correspond to usage on the plateform after 2015. The current usage metrics is available 48-96 hours after online publication and is updated daily on week days.

Initial download of the metrics may take a while.