Free Access

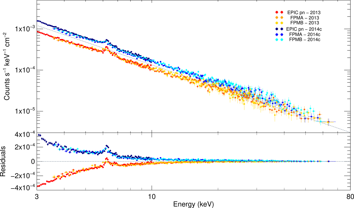
Fig. 1.

image

The simultaneous XMM-Newton and NuSTAR spectra and residuals to a power law model (in counts s−1 keV−1 cm−2 units) are shown, obtained on February 2013 and March 2014 for Ark 120. Dashed grey line indicate a Γ = 1.85 power law model, with a 2–10 keV flux of 3 × 10−11 erg cm−2 s−1.

Current usage metrics show cumulative count of Article Views (full-text article views including HTML views, PDF and ePub downloads, according to the available data) and Abstracts Views on Vision4Press platform.

Data correspond to usage on the plateform after 2015. The current usage metrics is available 48-96 hours after online publication and is updated daily on week days.

Initial download of the metrics may take a while.