Free Access

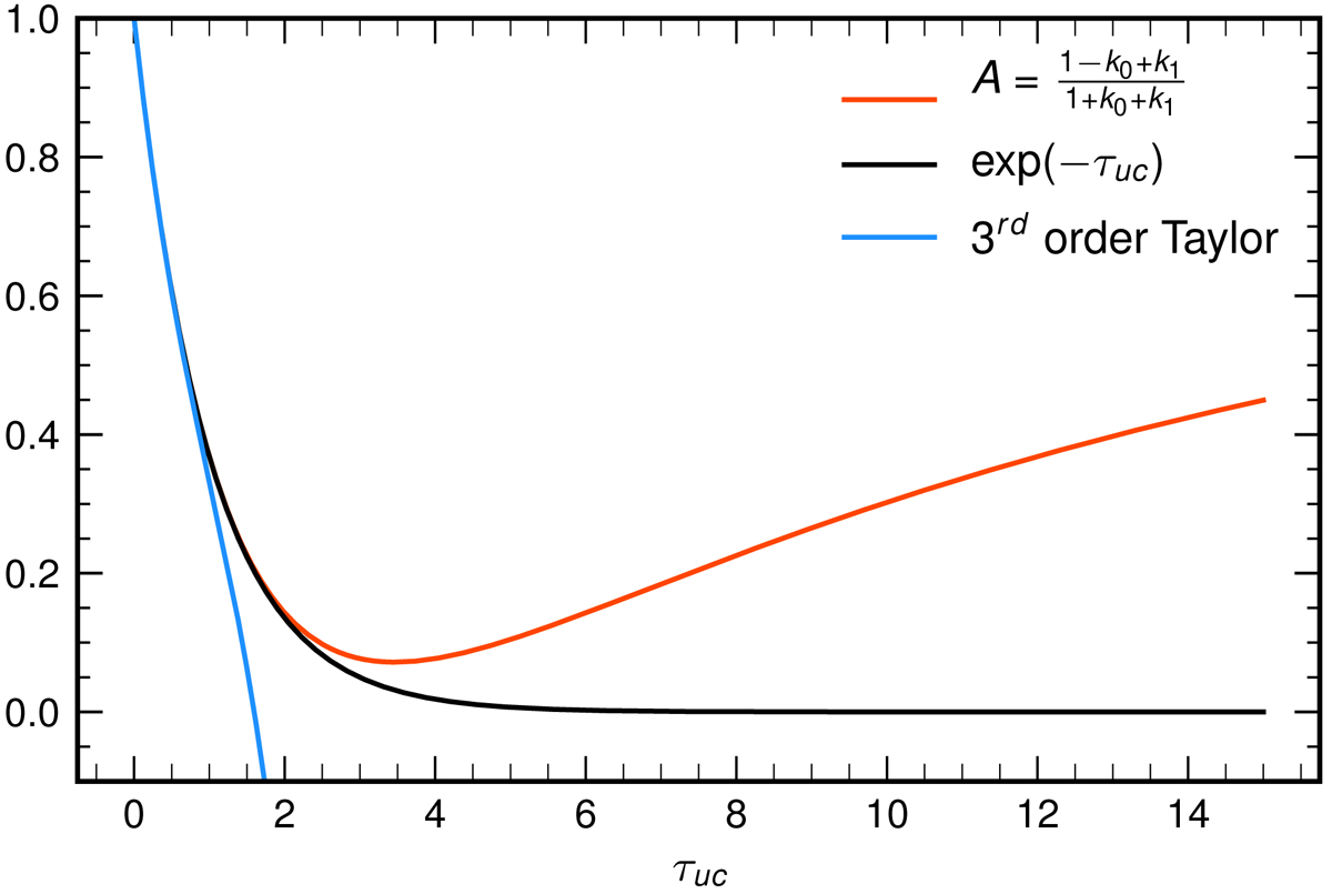
Fig. 2.

image

Comparison of the integration coefficient A from LBR’s method (red) with an exponential (black). A is a good approximation to the exponential for small optical thickness, but it greatly deviates close to the optically thick regime.

Current usage metrics show cumulative count of Article Views (full-text article views including HTML views, PDF and ePub downloads, according to the available data) and Abstracts Views on Vision4Press platform.

Data correspond to usage on the plateform after 2015. The current usage metrics is available 48-96 hours after online publication and is updated daily on week days.

Initial download of the metrics may take a while.