Table 9
PDF widths, linewidths, Mach numbers, and parameters describing the turbulence of the velocity components.
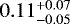
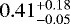
| vLSRa | FWHMd | Me | ζf | bg | |||||||||
|---|---|---|---|---|---|---|---|---|---|---|---|---|---|
| (km s−1) | (km s−1) | 20 K | 40 K | 80 K | 20 K | 40 K | 80 K | 20 K | 40 K | 80 K | |||
| Galactic centre | |||||||||||||
| − 105.9 | 0.49 ± 0.03 | 4.2 | 11.7 | 8.1 | 5.8 | x | x | 0.63 | |||||
| − 93.7 | 0.47 ± 0.09 | 4.6 | 12.8 | 8.9 | 6.4 | x | x | 0.85 | |||||
| − 81.5 | 0.43 ± 0.09 | 2.1 | 5.8 | 4.1 | 2.9 | x | 0.66 | 0.43 | |||||
| − 74.6 | 0.50 ± 0.05 | 7.1 | 19.7 | 13.7 | 9.9 | x | x | x | |||||
| − 3.2 | 0.56 ± 0.06 | 6.4 | 17.8 | 12.4 | 8.9 | x | x | 0.89 | |||||
| 2.0 | 0.51 ± 0.08 | 9.4 | 26.1 | 18.2 | 13.1 | x | x | x | |||||
| 7.3 | 0.53 ± 0.14 | 6.1 | 16.9 | 11.8 | 8.5 | x | 0.89 | ||||||
| allh | 0.54 ± 0.10 | x | |||||||||||
| 3 kpc arm | |||||||||||||
| − 48.4 | 0.52 ± 0.16 | 4.2 | 11.7 | 8.1 | 5.8 | x | 0.82 | 0.50 | |||||
| − 39.7 | 0.41 ± 0.11 | 4.1 | 11.4 | 7.9 | 5.7 | x | x | x | |||||
| allh | 0.48 ± 0.15 | ||||||||||||
| 4 kpc arm | |||||||||||||
| − 27.6 | 0.39 ± 0.08 | 7.6 | 21.1 | 14.7 | 10.6 | x | x | x | |||||
| − 18.9 | 0.43 ± 0.08 | 8.2 | 22.8 | 15.9 | 11.4 | x | x | x | |||||
| allh | 0.41 ± 0.08 | ||||||||||||
| Scutum arm | |||||||||||||
| 24.7 | 0.61 ± 0.10 | 4.1 | 11.4 | 7.9 | 5.7 | 0.72 | 0.48 | 0.38 | |||||
| 31.6 | 0.52 ± 0.09 | 10.2 | 28.3 | 19.7 | 14.2 | x | x | x | |||||
| 36.9 | 0.56 ± 0.14 | 7.4 | 20.5 | 14.3 | 10.3 | x | x | 0.94 | |||||
| allh | 0.56 ± 0.12 | ||||||||||||
| Sagittarius arm | |||||||||||||
| 17.7 | 0.49 ± 0.08 | 6.5 | 18.0 | 12.6 | 9.0 | x | x | 0.89 | |||||
Notes. The molecules used for this analysis are c-C3 H2, H13CO+, 13CO, CS, SO, SiO, HNC, and CH3OH. (a) Channel velocities of c-C3 H2. (b) Mean width of the PDF. (c)Median width of the PDF. (d)Median FWHM for each velocity component determined with c-C3 H2. (e) Mach number for three assumed temperatures. (f)Forcing parameter ζ. x means that there is no intersection of the two functions b(ζ). In these cases, we assume f = 2.9 to derive b. (g) Forcing parameter b. (h) Mean and median values of the PDF width for each sub-sample of clouds.
Current usage metrics show cumulative count of Article Views (full-text article views including HTML views, PDF and ePub downloads, according to the available data) and Abstracts Views on Vision4Press platform.
Data correspond to usage on the plateform after 2015. The current usage metrics is available 48-96 hours after online publication and is updated daily on week days.
Initial download of the metrics may take a while.