Open Access

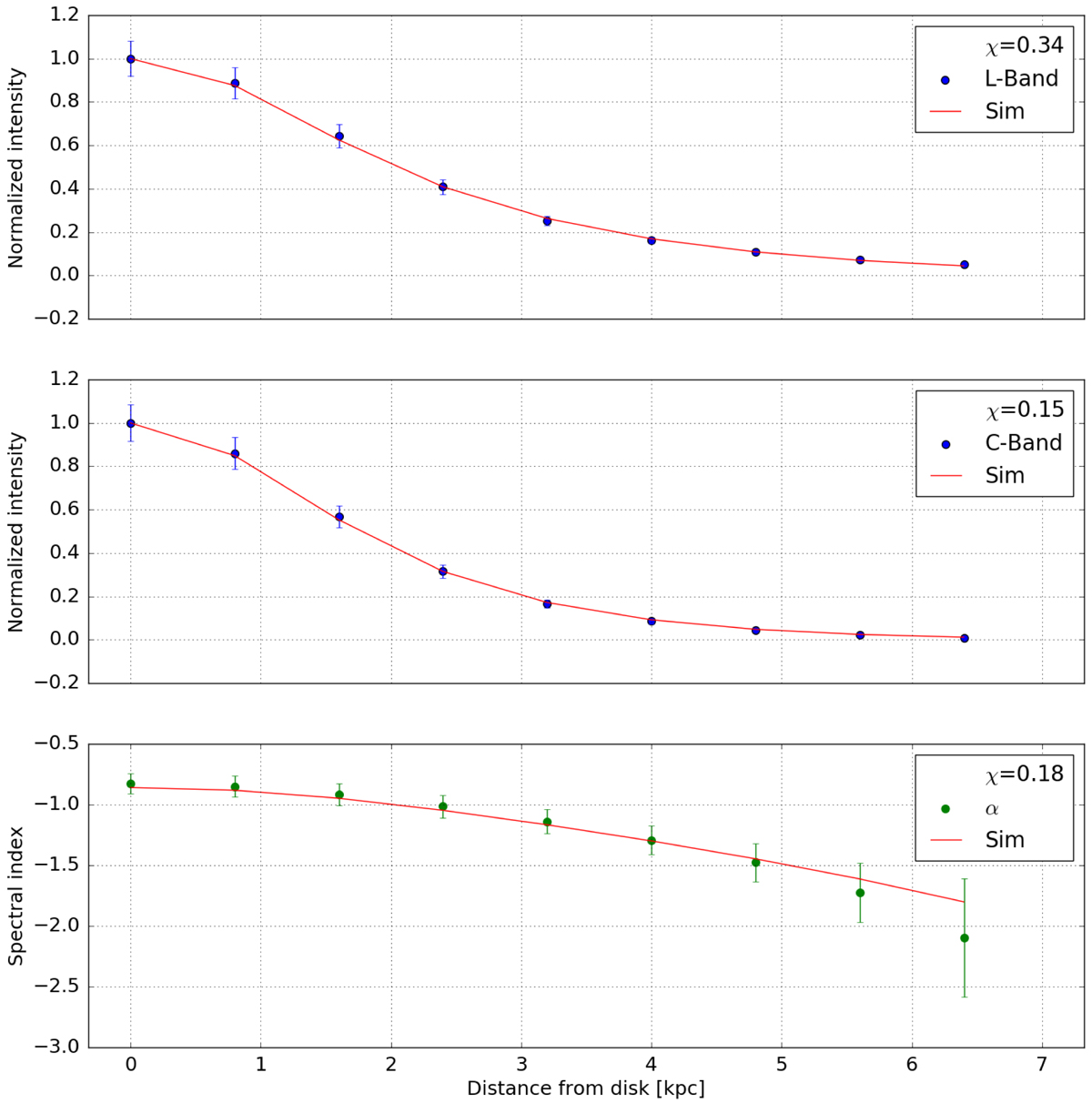
Fig. 25.

image

CR advection transport model for NGC 4666 with SPINTERACTIVE. The data points are the observed values from 1.5 GHz (L-band), 6 GHz (C-band), and the spectral index; the red line represents the model simulation. The errors correspond to a weighted standard deviation. The basic parameters are listed in Table 19.

Current usage metrics show cumulative count of Article Views (full-text article views including HTML views, PDF and ePub downloads, according to the available data) and Abstracts Views on Vision4Press platform.

Data correspond to usage on the plateform after 2015. The current usage metrics is available 48-96 hours after online publication and is updated daily on week days.

Initial download of the metrics may take a while.