Free Access

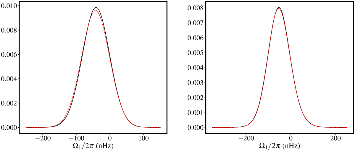
Fig. 8.

image

Densities for the differential rotation parameter Ω1 for 16 Cyg A (left panel) and B (right panel). The black lines show the densities after marginalisation over the 𝒦1xs coefficients given by Eq. (19). The red dashed lines show the densities for our best-fit stellar model.

Current usage metrics show cumulative count of Article Views (full-text article views including HTML views, PDF and ePub downloads, according to the available data) and Abstracts Views on Vision4Press platform.

Data correspond to usage on the plateform after 2015. The current usage metrics is available 48-96 hours after online publication and is updated daily on week days.

Initial download of the metrics may take a while.