Free Access

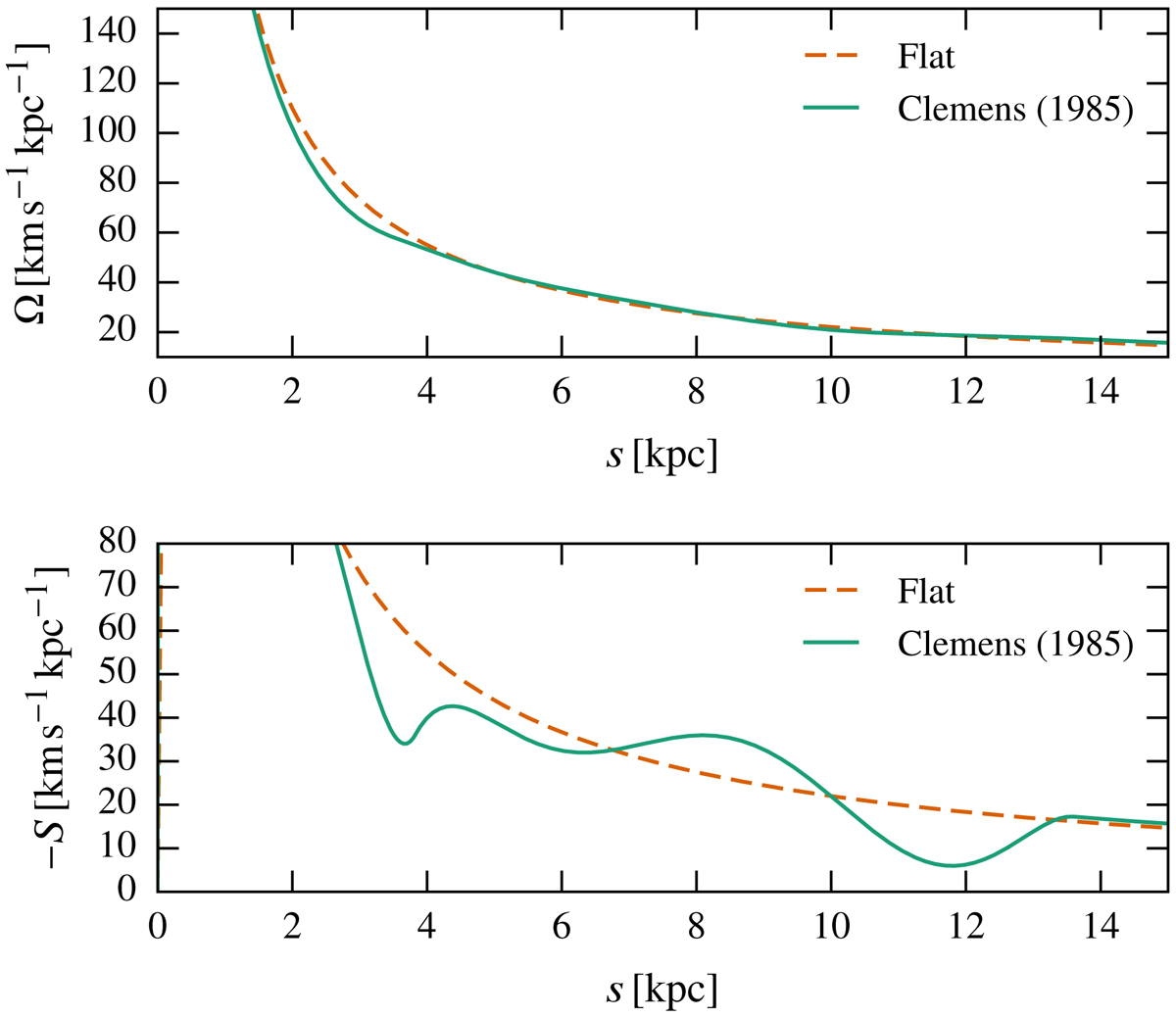
Fig. 1.

image

Two choices for the rotation curve discussed in the text (upper panel) and the corresponding velocity shear rate S = sdΩ/ds (lower panel): the Milky Way rotation curve obtained from CO observations by Clemens (1985; solid) and a simpler rotation curve given by Eq. (2) (dashed).

Current usage metrics show cumulative count of Article Views (full-text article views including HTML views, PDF and ePub downloads, according to the available data) and Abstracts Views on Vision4Press platform.

Data correspond to usage on the plateform after 2015. The current usage metrics is available 48-96 hours after online publication and is updated daily on week days.

Initial download of the metrics may take a while.