Free Access

Fig. 10.

image

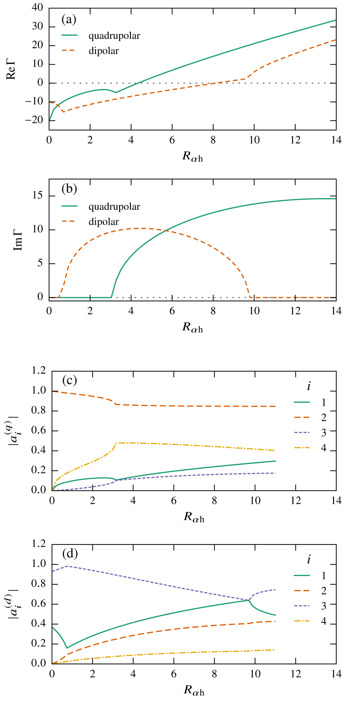
Panel a: growth rates ReΓ and ( panel b) oscillation frequencies ImΓ of the symmetric (solid) and anti-symmetric (dashed) fastest-growing dynamo eigenmodes in a spherical halo as a function of Rαh, with all the remaining parameters fixed at their fiducial values shown in Table 1. Panels c and d: the magnitudes of the expansion coefficients ai in Eq. (59) for the dipolar and quadrupolar modes, respectively. We note that each sharp bend in ReΓ that occurs as Rαh changes is connected with an intersection of two curves ai with distinct values of i.

Current usage metrics show cumulative count of Article Views (full-text article views including HTML views, PDF and ePub downloads, according to the available data) and Abstracts Views on Vision4Press platform.

Data correspond to usage on the plateform after 2015. The current usage metrics is available 48-96 hours after online publication and is updated daily on week days.

Initial download of the metrics may take a while.