Free Access

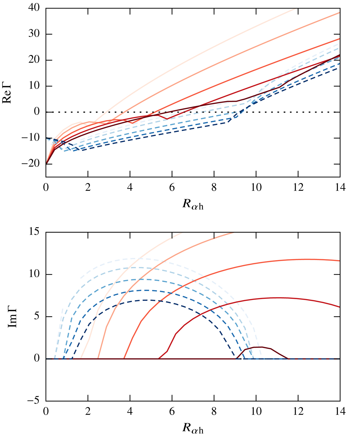
Fig. 12.

image

The effect of the form of the rotation curve on the dynamo growth rate ReΓ and oscillation frequency ImΓ of the fastest-growing magnetic field in the spherical halo. The shade of each curve corresponds to the value of the turnover radius of the rotation curve, sv, with the lightest shade for sv = 0.5 kpc and the darkest for sv = 7.5 kpc with the increment of 1.75 kpc (the fiducial value is sv = 3 kpc). Dashed curves are for the anti-symmetric eigenmodes and solid curves show symmetric solutions.

Current usage metrics show cumulative count of Article Views (full-text article views including HTML views, PDF and ePub downloads, according to the available data) and Abstracts Views on Vision4Press platform.

Data correspond to usage on the plateform after 2015. The current usage metrics is available 48-96 hours after online publication and is updated daily on week days.

Initial download of the metrics may take a while.