Free Access

Fig. 2.

image

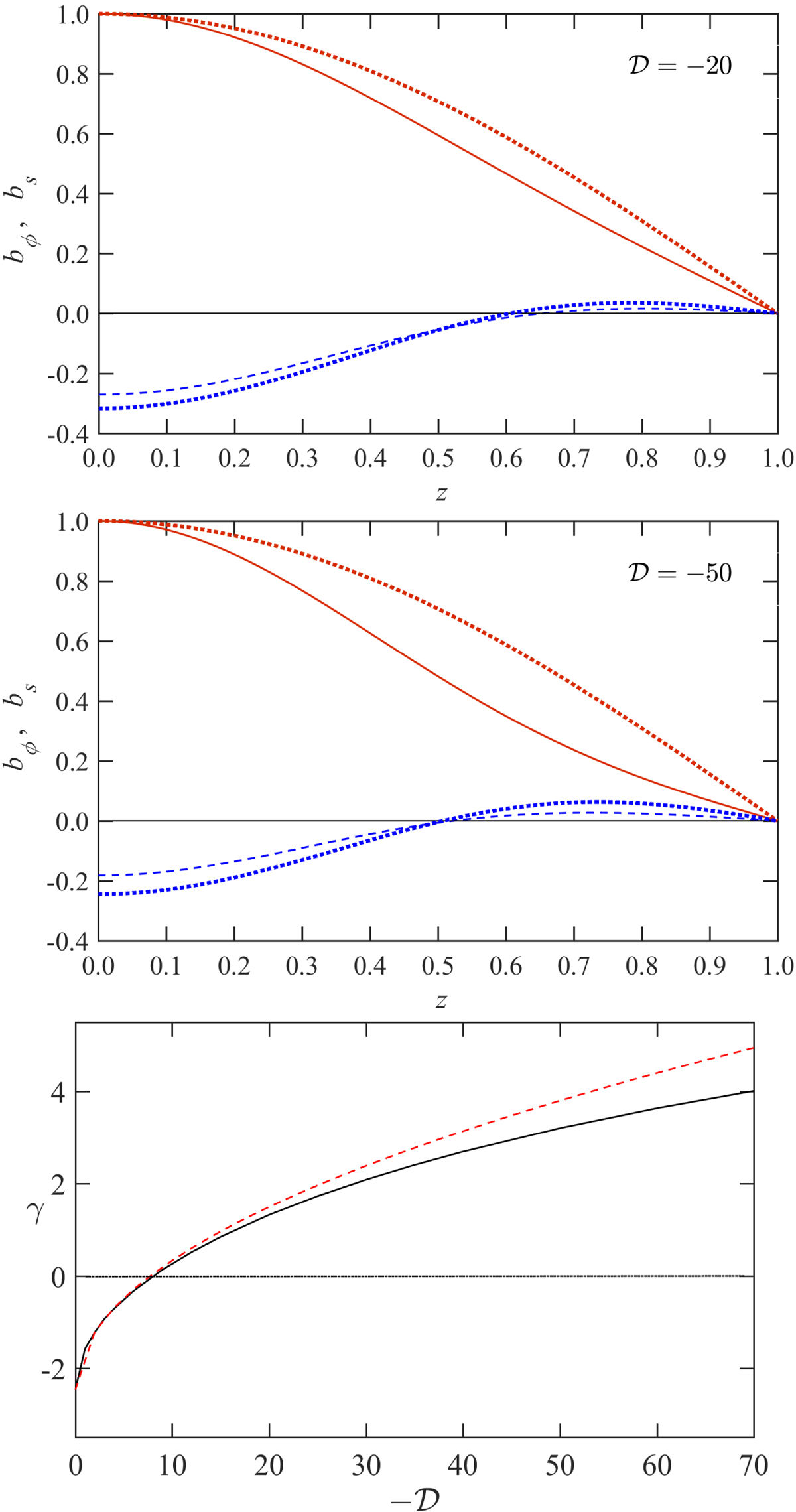
Comparison of the local quadrupolar eigenfunctions for 𝒟 = −20 (upper panel) and −50 (middle panel) obtained from numerical solution of the local Eqs. (21) and (22) with the approximate eigenfunctions Eqs. (29) and (30): bϕ from the numerical solution are shown solid (red) and bs, dashed (blue); their approximate counterparts are shown with dotted curves of the matching colour. The eigenfunctions are normalised to bϕ(0) = 1. Bottom panel: numerical (black, solid) and approximate, Eqs. (31) (red, dashed), solutions for the local growth rate as a function of the local dynamo number.

Current usage metrics show cumulative count of Article Views (full-text article views including HTML views, PDF and ePub downloads, according to the available data) and Abstracts Views on Vision4Press platform.

Data correspond to usage on the plateform after 2015. The current usage metrics is available 48-96 hours after online publication and is updated daily on week days.

Initial download of the metrics may take a while.