Free Access

Fig. 3.

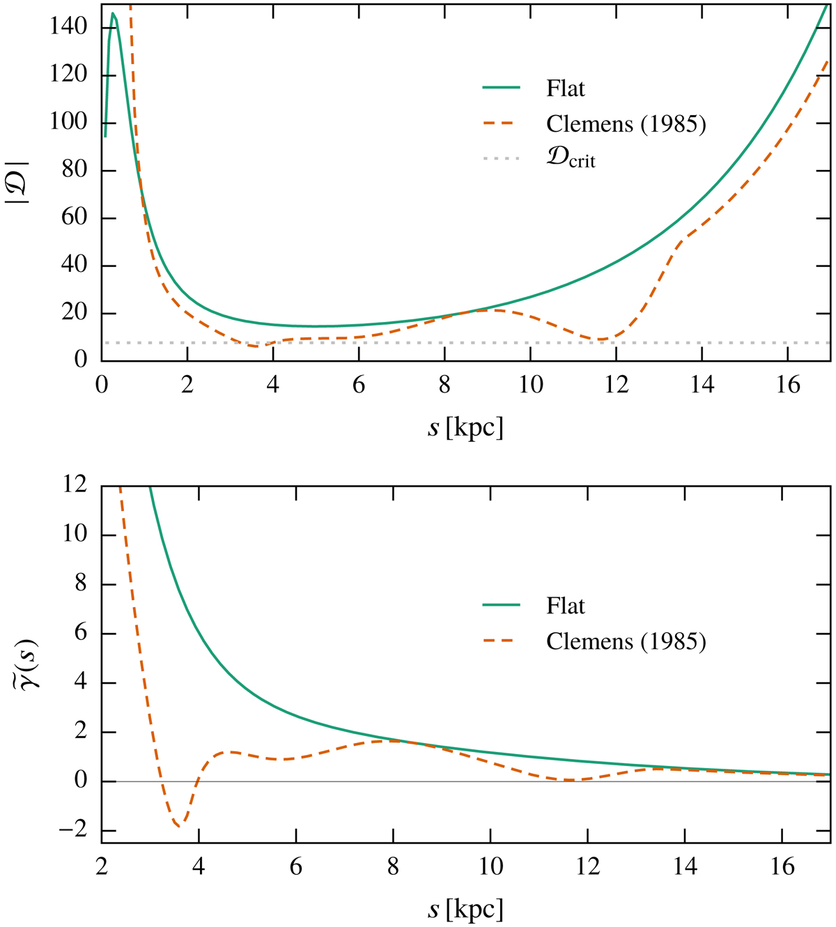
image

Radial profiles of the local dynamo number (upper panel) and the local growth rate of the quadrupolar solutions (lower panel) for the flat rotation curve Eq. (2) (solid) and for the MW rotation curve of Clemens (1985; dashed). Upper panel: critical dynamo number 𝒟c ≈ −π3/4 is shown dotted for reference.

Current usage metrics show cumulative count of Article Views (full-text article views including HTML views, PDF and ePub downloads, according to the available data) and Abstracts Views on Vision4Press platform.

Data correspond to usage on the plateform after 2015. The current usage metrics is available 48-96 hours after online publication and is updated daily on week days.

Initial download of the metrics may take a while.