Free Access

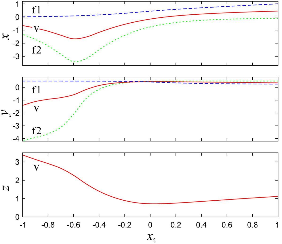
Fig. 4.

image

Coordinates x, y, and z (top, middle, and bottom panels, respectively) of the first footpoint (dashed blue curves, denoted by “f1”), second footpoint (dotted green curves, denoted by “f2”), and vertex of the separator (solid red curve, denoted by “v”) as functions of the position of the fourth magnetic source x4.

Current usage metrics show cumulative count of Article Views (full-text article views including HTML views, PDF and ePub downloads, according to the available data) and Abstracts Views on Vision4Press platform.

Data correspond to usage on the plateform after 2015. The current usage metrics is available 48-96 hours after online publication and is updated daily on week days.

Initial download of the metrics may take a while.