Free Access

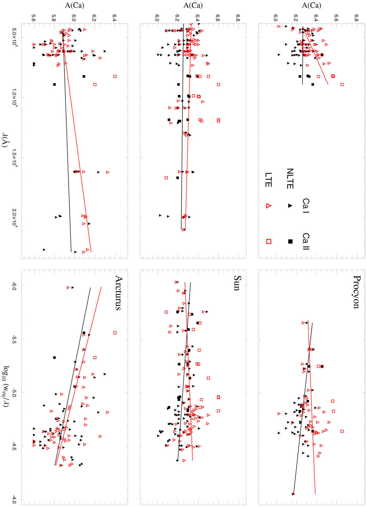
Fig. 8

image

Line-by-line Ca abundance determination in the three observed stars. Red and black symbols denote LTE and NLTE abundances, respectively; triangles correspond to Ca I and squares/asterisks to Ca II lines. The lines show the linear fit of the LTE (red) and NLTE (black) abundances.

Current usage metrics show cumulative count of Article Views (full-text article views including HTML views, PDF and ePub downloads, according to the available data) and Abstracts Views on Vision4Press platform.

Data correspond to usage on the plateform after 2015. The current usage metrics is available 48-96 hours after online publication and is updated daily on week days.

Initial download of the metrics may take a while.