Free Access

Fig. B.1.

image

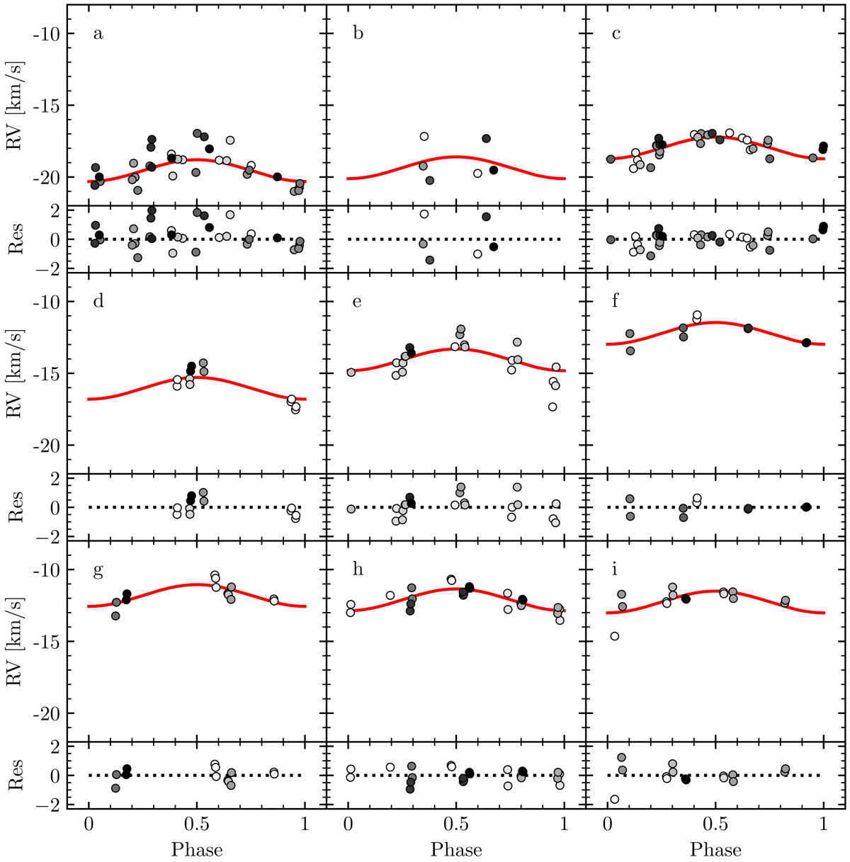
RV template fitting method applied to high-dispersion photographic RVs by Kamper (1996) (K96-08). No significant amplitude variation is seen with time, although the orbital motion is clearly apparent.

Current usage metrics show cumulative count of Article Views (full-text article views including HTML views, PDF and ePub downloads, according to the available data) and Abstracts Views on Vision4Press platform.

Data correspond to usage on the plateform after 2015. The current usage metrics is available 48-96 hours after online publication and is updated daily on week days.

Initial download of the metrics may take a while.