Free Access

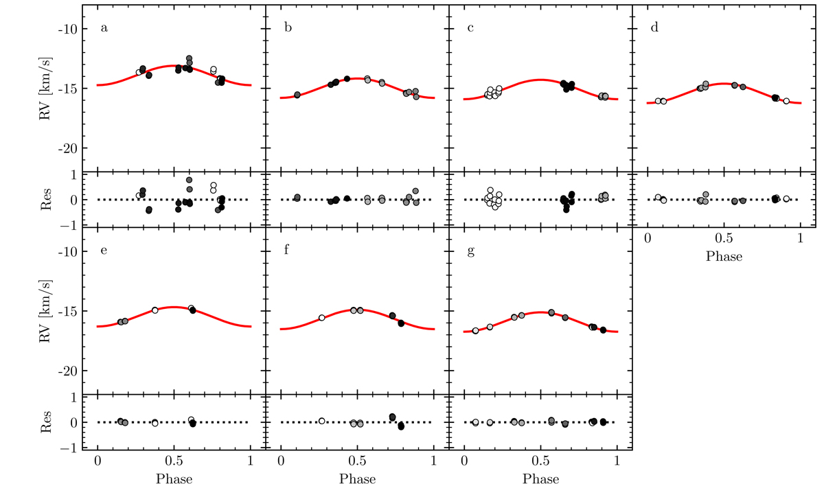
Fig. B.3.

image

RV template fitting method applied to K96-CE RVs. No significant variation in amplitude is apparent with time, although the scatter in the first three epochs is significantly larger than in the later four, likely because of calibration issues.

Current usage metrics show cumulative count of Article Views (full-text article views including HTML views, PDF and ePub downloads, according to the available data) and Abstracts Views on Vision4Press platform.

Data correspond to usage on the plateform after 2015. The current usage metrics is available 48-96 hours after online publication and is updated daily on week days.

Initial download of the metrics may take a while.