Open Access

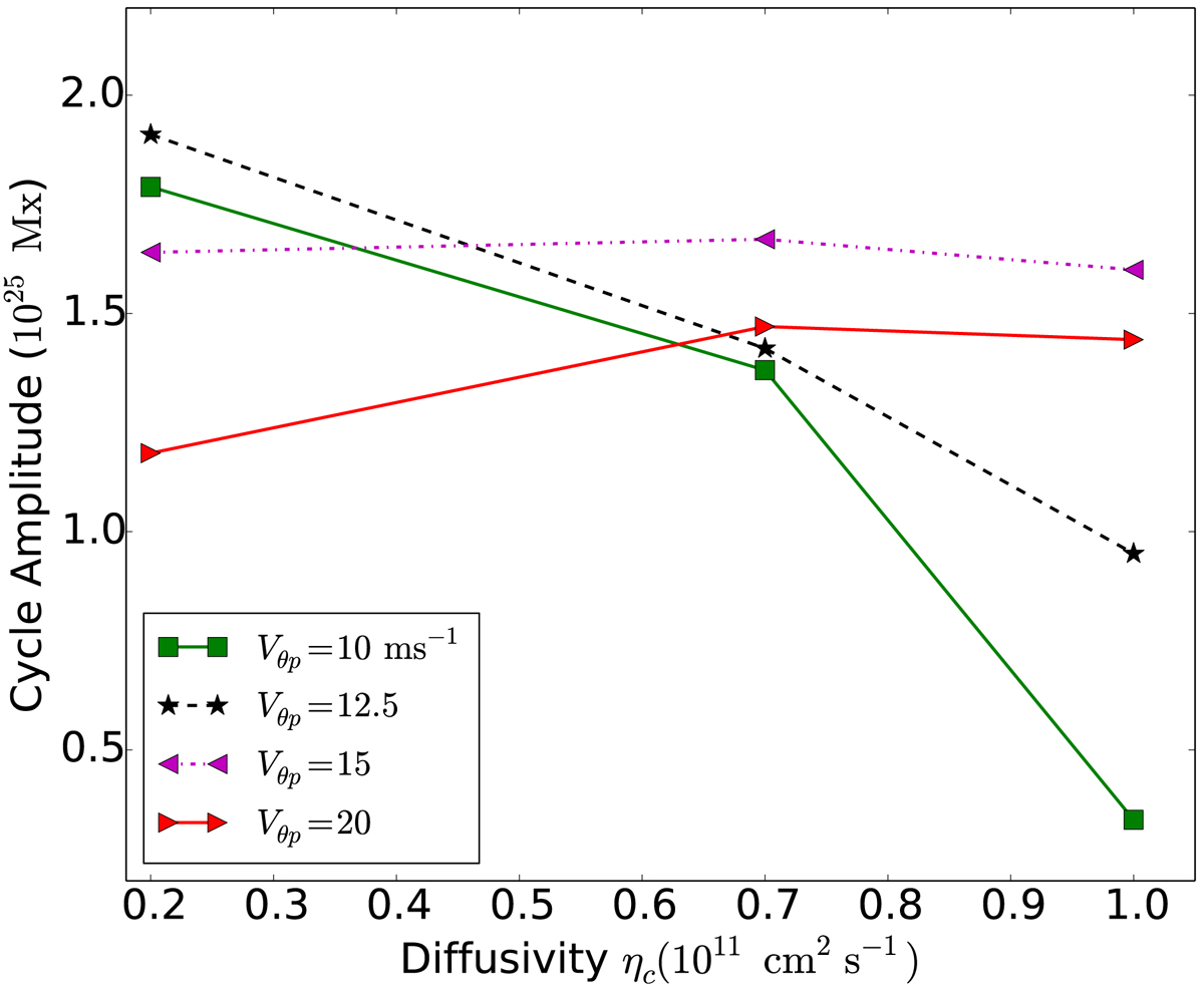
Fig. 13.

image

Dependence of the cycle amplitude on the convection zone diffusivity (ηc) at different peak meridional flow speeds (Vθp). For high peak meridional flow speed (Vθp = 15, 20 m s−1), the cycle amplitude first increases and then decreases with increasing ηc, whereas for low peak meridional flow speed (Vθp = 10, 12.5 m s−1), the cycle amplitude continuously decreases with increasing ηc.

Current usage metrics show cumulative count of Article Views (full-text article views including HTML views, PDF and ePub downloads, according to the available data) and Abstracts Views on Vision4Press platform.

Data correspond to usage on the plateform after 2015. The current usage metrics is available 48-96 hours after online publication and is updated daily on week days.

Initial download of the metrics may take a while.