Free Access

Fig. 2

image

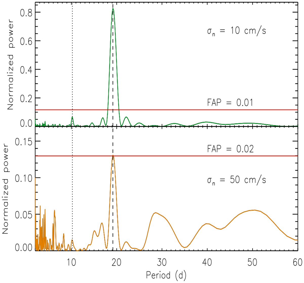
Top panel: periodogram of the simulated radial velocity time series of a Sun-like star showing sectoral r modes with m = 2 and 3 as seen with an inclination i = 60°. The RV amplitudes and the periods of the modes are given in Table 1; they correspond to a maximum horizontal velocity of the modes of 2 m s−1 at the stellar surface. The periodogram is normalized according to the definition of the GLS given by Zechmeister & Kürster (2009). A normally distributed random noise with a standard deviation σn of 10 cm s−1 was added. The vertical dashed line indicates the period of the m = 2 mode and the dotted line that of the m = 3 mode. The red horizontal line gives the level of 1% FAP as determined by analyzing 10 000 random shufflings of the original time series. Bottom panel: same as the top panel, but for a standard deviation of the noise σn of 50 cm s−1. Here the red horizontal line indicates the level corresponding to a FAP of 2%.

Current usage metrics show cumulative count of Article Views (full-text article views including HTML views, PDF and ePub downloads, according to the available data) and Abstracts Views on Vision4Press platform.

Data correspond to usage on the plateform after 2015. The current usage metrics is available 48-96 hours after online publication and is updated daily on week days.

Initial download of the metrics may take a while.