Free Access

This article has an erratum: [https://doi.org/10.1051/0004-6361/201834718e]


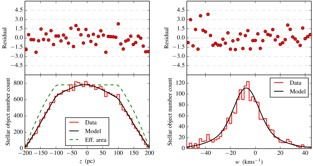
Fig. D.2.

image

Control plot for sample S2, comparing the inferred model with the data. Left panel: stellar number count as a function of height with respect to the Sun. Right panel: vertical velocity distribution for stars close to the Galactic plane.

Current usage metrics show cumulative count of Article Views (full-text article views including HTML views, PDF and ePub downloads, according to the available data) and Abstracts Views on Vision4Press platform.

Data correspond to usage on the plateform after 2015. The current usage metrics is available 48-96 hours after online publication and is updated daily on week days.

Initial download of the metrics may take a while.