Highlight
Free Access

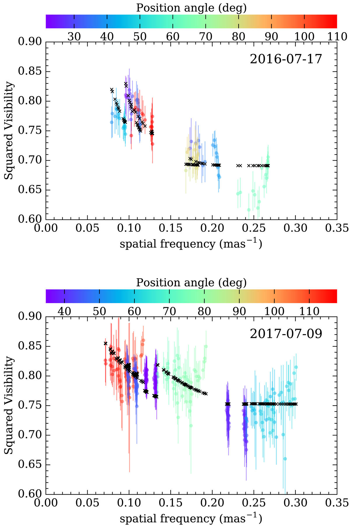
Fig. 2.

image

K band continuum squared visibilities of SS 433 from the GRAVITY fringe tracker for the 2016 observation (top) and Epoch 2 of the 2017 observation (bottom). The continuum is modeled by the combination of an unresolved point source representing the binary (accretion disk + donor star) and a two-dimensional elliptical Gaussian which could represent an extended disk/wind. The data is shown in color and the best fit model is shown in black.

Current usage metrics show cumulative count of Article Views (full-text article views including HTML views, PDF and ePub downloads, according to the available data) and Abstracts Views on Vision4Press platform.

Data correspond to usage on the plateform after 2015. The current usage metrics is available 48-96 hours after online publication and is updated daily on week days.

Initial download of the metrics may take a while.