Free Access

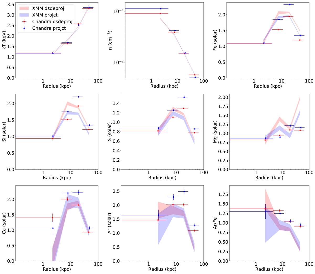
Fig. 3.

image

A comparison of the Chandra (data points) and XMM-Newton (filled areas) temperature, density, Fe, Si, S, Mg, Ca and Ar abundances and the Ar/Fe abundance ratio profiles, obtained using the vgadem model and deprojected using projct (blue) and dsdeproj (red). All errors are quoted at the 68.27% (1σ) confidence level based on . The blue data points have been shifted slightly on the X-axis for clarity.

Current usage metrics show cumulative count of Article Views (full-text article views including HTML views, PDF and ePub downloads, according to the available data) and Abstracts Views on Vision4Press platform.

Data correspond to usage on the plateform after 2015. The current usage metrics is available 48-96 hours after online publication and is updated daily on week days.

Initial download of the metrics may take a while.