Free Access

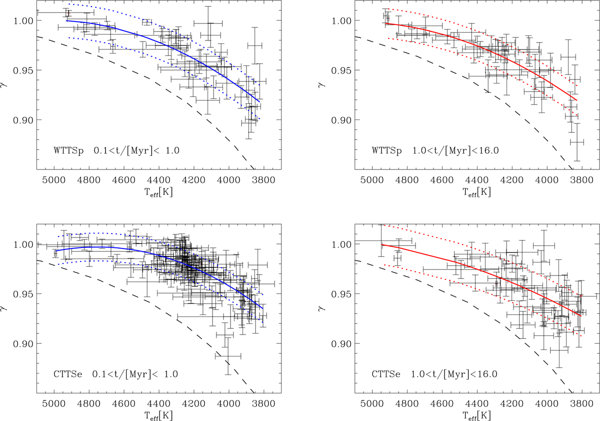
Fig. 14.

image

γ index as a function of Teff for WTTSp (upper panels) and CTTSe (lower panels) cluster members split into two different age ranges. The solid lines indicate the best fits obtained from a second order polynomial fit of the data while the dashed line indicates the reference locus of MS stars obtained in Damiani et al. (2014). The dotted lines indicate the polynomial fit at 3σ.

Current usage metrics show cumulative count of Article Views (full-text article views including HTML views, PDF and ePub downloads, according to the available data) and Abstracts Views on Vision4Press platform.

Data correspond to usage on the plateform after 2015. The current usage metrics is available 48-96 hours after online publication and is updated daily on week days.

Initial download of the metrics may take a while.