Free Access

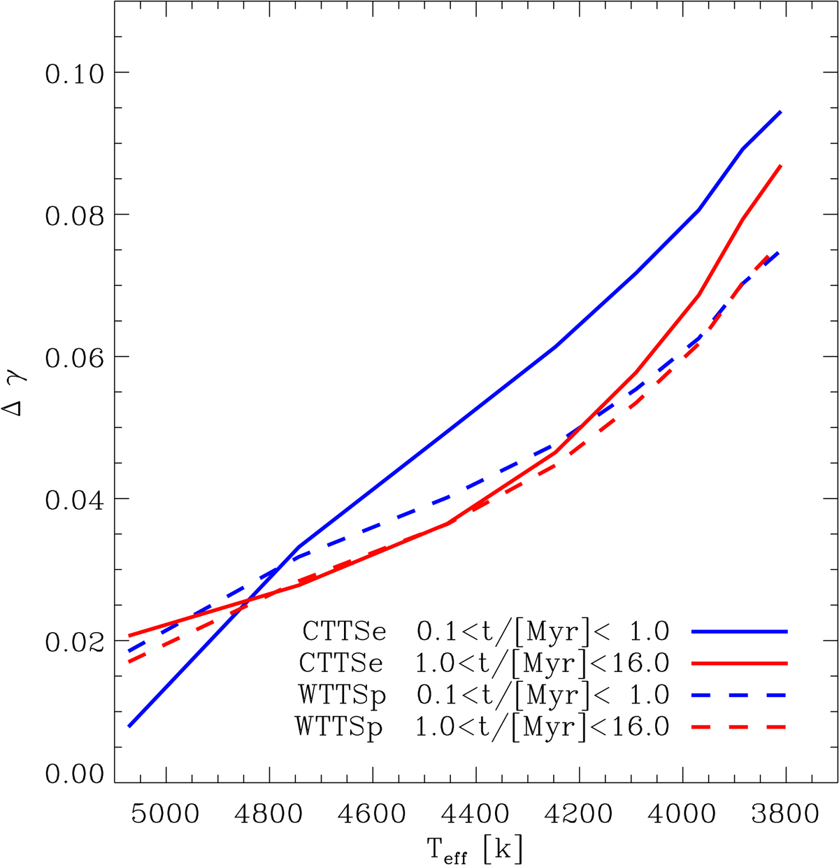
Fig. 15.

image

Δγ of CTTSe and WTTSp (solid and dashed lines, respectively) as a function of Teff obtained from the difference between the best fit of the youngest and oldest stars (blue and red lines, respectively) and the reference MS locus.

Current usage metrics show cumulative count of Article Views (full-text article views including HTML views, PDF and ePub downloads, according to the available data) and Abstracts Views on Vision4Press platform.

Data correspond to usage on the plateform after 2015. The current usage metrics is available 48-96 hours after online publication and is updated daily on week days.

Initial download of the metrics may take a while.