Highlight
Free Access

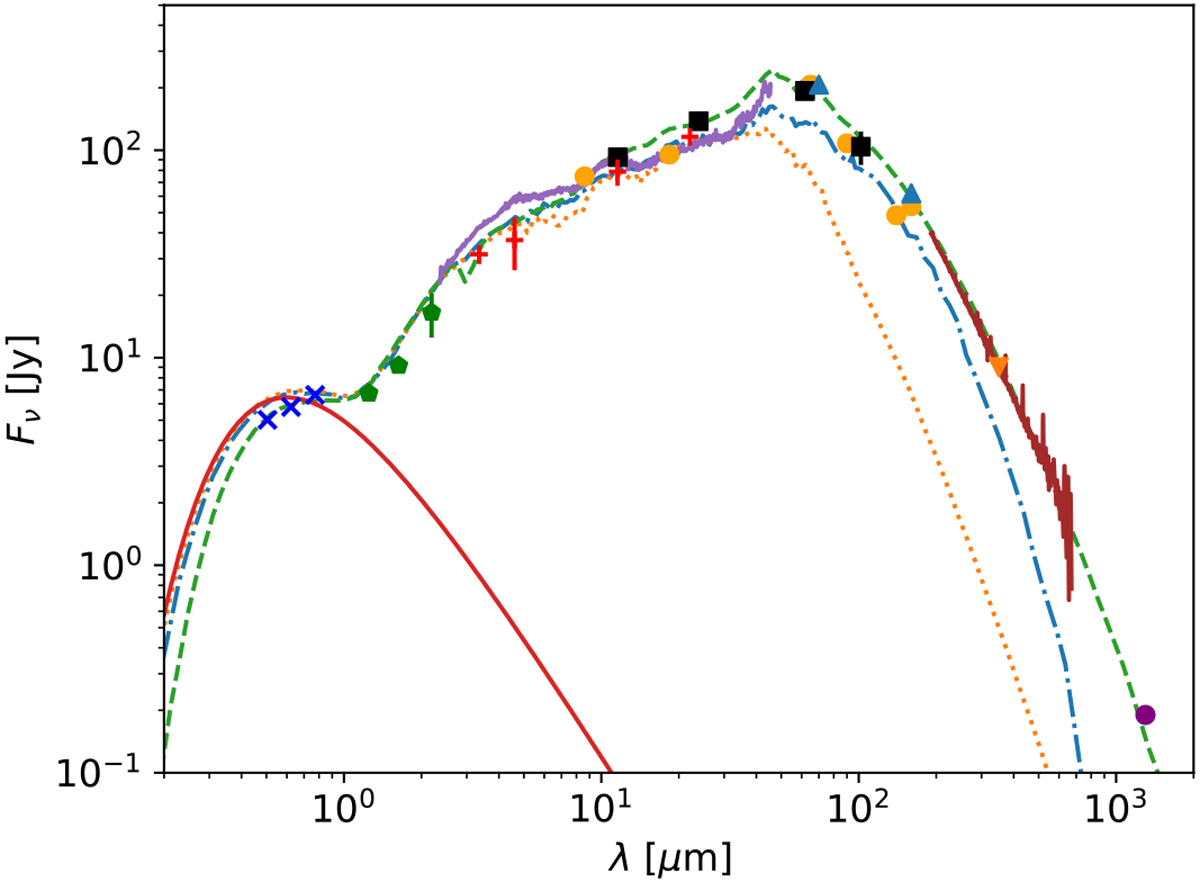
Fig. 19

image

Observed SED of HD 101584, and a comparison with the model results. ISO SWS and Herschel/SPIRE spectra are shown by the full violet and brown lines, respectively (note the presence of high-J CO linesin the SPIRE spectrum). Photometric measurements are from Gaia (blue x:s), 2MASS (green pentagons), AKARI (orange circles), IRAS (black squares), WISE (red crosses), ALMA (purple circle), PACS (blue triangles), and ArTeMiS (orange inverted triangle). The red solid line represents a black-body at a temperature of 8500 K, and for a distance of 1 kpc the luminosity is 1600 L. We show models with amax = 1 mm (Md = 10−2 M, green dashed line), amax = 0.1 mm (Md = 4 × 10−3 M, blue dash-dotted line), and amax = 0.01 mm (Md = 10−3 M, orange dotted line).

Current usage metrics show cumulative count of Article Views (full-text article views including HTML views, PDF and ePub downloads, according to the available data) and Abstracts Views on Vision4Press platform.

Data correspond to usage on the plateform after 2015. The current usage metrics is available 48-96 hours after online publication and is updated daily on week days.

Initial download of the metrics may take a while.