Free Access

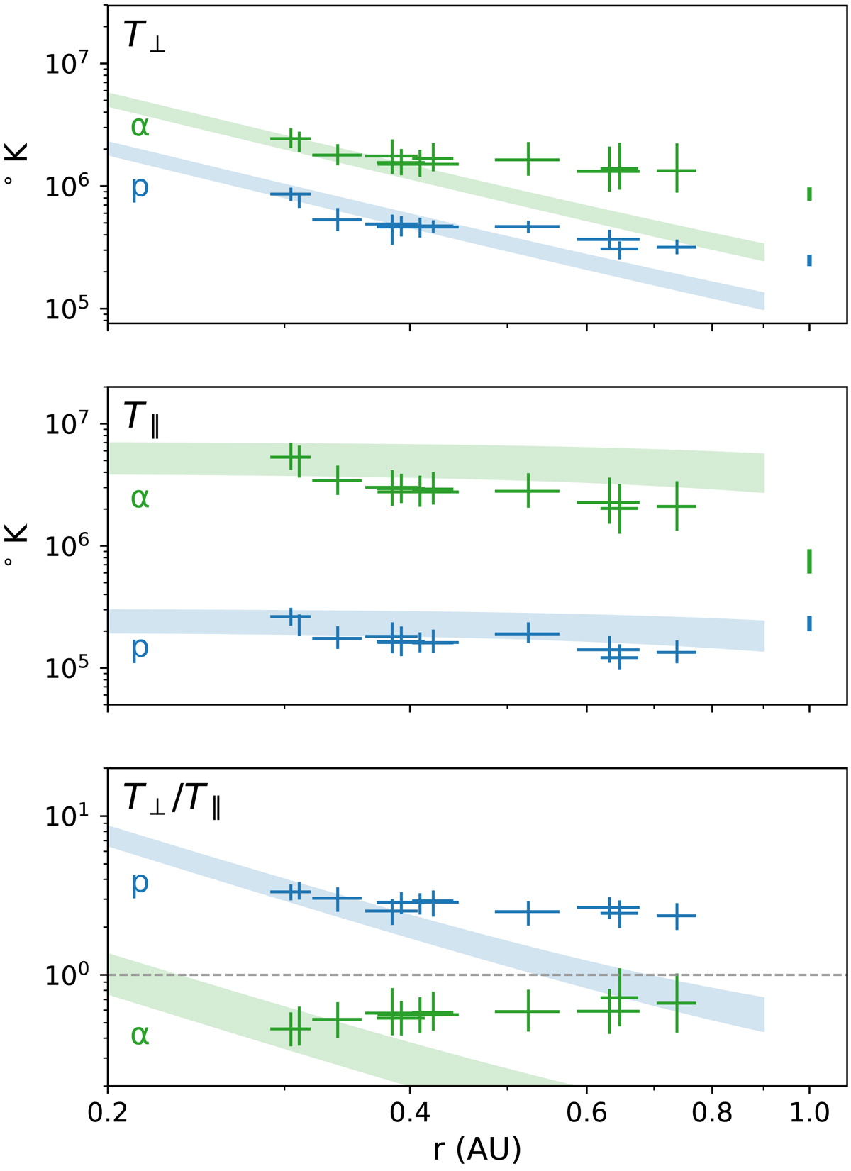
Fig. 1.

image

Radial evolution of alpha (green) and proton (blue) temperatures in fast solar wind. Each cross is measured in a single continuous high speed stream. The width of crosses gives the range of radial distances sampled in each stream. The centre of the cross is at the median value, and the lower and upper bounds are the first and third quartiles of the data. Bars at 1 AU are taken from the WIND swe_h1 dataset. Shaded areas are a double adiabatic prediction (Chew et al. 1956) based on an ideal Parker spiral magnetic field (Parker 1958), for constant solar wind speeds in the range 600–800 km s−1.

Current usage metrics show cumulative count of Article Views (full-text article views including HTML views, PDF and ePub downloads, according to the available data) and Abstracts Views on Vision4Press platform.

Data correspond to usage on the plateform after 2015. The current usage metrics is available 48-96 hours after online publication and is updated daily on week days.

Initial download of the metrics may take a while.