Open Access

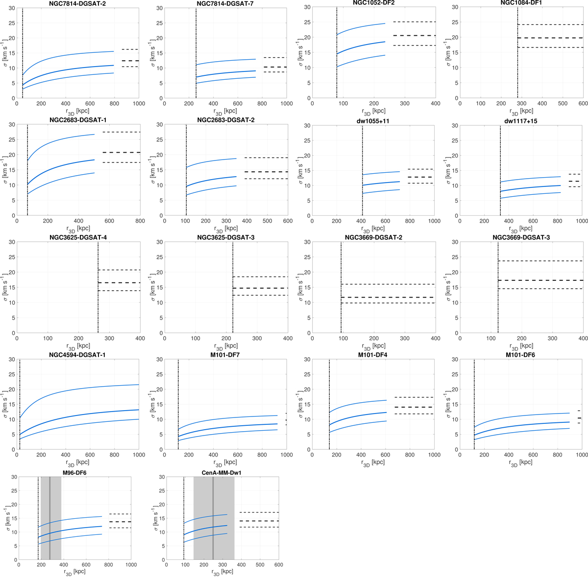
Fig. 1.

image

Predicted velocity dispersions including the EFE (blue lines) and for the isolated case (dotted lines) as function of the three dimensional separation up to 1 Mpc. The inclusion of the EFE is stopped when g/gex >  2. The vertical dotted line corresponds to the on-sky separation (and thereby lower limit of the 3D distance) between the host and the UDG. The upper and lower limits of the curves are derived by varying the M/L and the distance to the host, see text. The last two entries – M 96-DF6 and Cen A-MM-Dw1 – have high-precision distance measurements available, we therefore indicate the three dimensional separation (gray line) as well as the associated 1σ uncertainties (gray area).

Current usage metrics show cumulative count of Article Views (full-text article views including HTML views, PDF and ePub downloads, according to the available data) and Abstracts Views on Vision4Press platform.

Data correspond to usage on the plateform after 2015. The current usage metrics is available 48-96 hours after online publication and is updated daily on week days.

Initial download of the metrics may take a while.