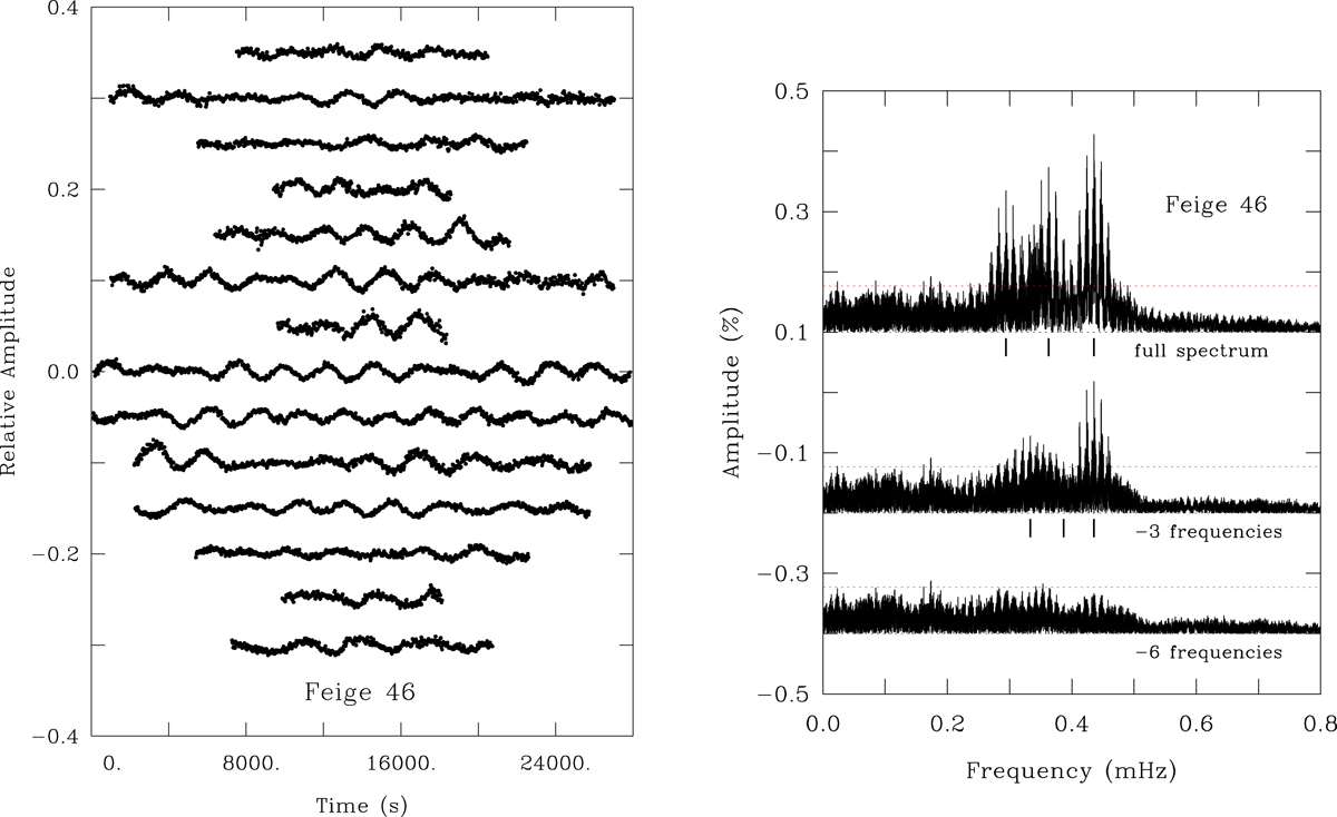
Fig. 1.

Left panel: all light curves obtained for Feige 46. The data have been shifted arbitrarily along the x- and y-axes for visualization purposes. The y-axis is expressed in units of fractional brightness intensity (the residual amplitude of the pulsation relative to the mean brightness of the star). Right panel: zoomed-in view of the Fourier transform of the entire data set in the 0−0.8 mHz range where the periodicities are found. The lower transforms show the successive steps of prewhitening by the three and six frequencies indicated. The dashed horizontal lines indicate the 4σ noise level.
Current usage metrics show cumulative count of Article Views (full-text article views including HTML views, PDF and ePub downloads, according to the available data) and Abstracts Views on Vision4Press platform.
Data correspond to usage on the plateform after 2015. The current usage metrics is available 48-96 hours after online publication and is updated daily on week days.
Initial download of the metrics may take a while.