Open Access

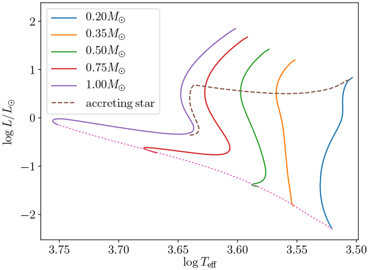
Fig. 3

image

Evolutionary track on the HR diagram of the protostar at the center of the disk (brown dashed line). Full lines indicate classical evolutionary tracks at constant mass and the dotted line indicates the ZAMS.

Current usage metrics show cumulative count of Article Views (full-text article views including HTML views, PDF and ePub downloads, according to the available data) and Abstracts Views on Vision4Press platform.

Data correspond to usage on the plateform after 2015. The current usage metrics is available 48-96 hours after online publication and is updated daily on week days.

Initial download of the metrics may take a while.