Free Access

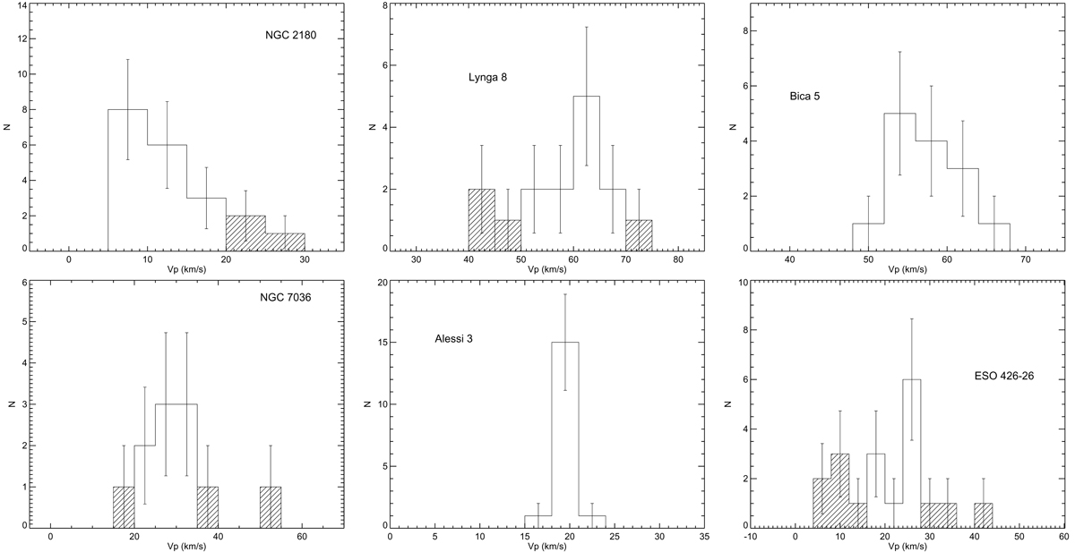
Fig. 15.

image

Projected velocity distributions of member stars (Sect. 4). The hatched bins show stars that highly deviate from the samples means after applying a sigma-clipping routine. Open histograms were employed to calculate σvp and σv. Poisson uncertainties are also shown. Histograms are shown for NGC 2180, Lynga 8, Bica 5, NGC 7036, Alessi 3, and ESO 426-SC26.

Current usage metrics show cumulative count of Article Views (full-text article views including HTML views, PDF and ePub downloads, according to the available data) and Abstracts Views on Vision4Press platform.

Data correspond to usage on the plateform after 2015. The current usage metrics is available 48-96 hours after online publication and is updated daily on week days.

Initial download of the metrics may take a while.