Open Access

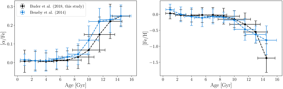
Fig. 14.

image

Comparison of the relations of stellar age and mean metallicity [Fe/H] (left) as well as mean [α/Fe] (right) for the stars of this study (black) and the stars from Bensby et al. (2014; blue), showing that the two relations agree between the studies within their uncertainties. The data points are calculated in 1.5 Gyr steps from 1 to 14.5 Gyr) and the errors are the means of the age uncertainties as well as the standard deviations for the mean [Fe/H] and [α/Fe], respectively.

Current usage metrics show cumulative count of Article Views (full-text article views including HTML views, PDF and ePub downloads, according to the available data) and Abstracts Views on Vision4Press platform.

Data correspond to usage on the plateform after 2015. The current usage metrics is available 48-96 hours after online publication and is updated daily on week days.

Initial download of the metrics may take a while.