Open Access

Fig. A.4.

image

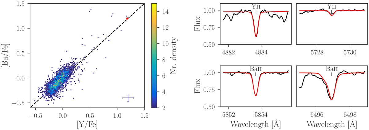
Left panel: distribution of Ba and Y abundances when measured for both elements. The elements behave close to a 1:1 correlation indicated by a dashed black line in the background. For higher abundances however, Ba is slightly more abundant than Y. Right panel: observation (black) and synthesis (red) of Ba and Y lines of the s-process enhanced 2MASS J20120895-4129341 (indicated by a red dot in the left panel).

Current usage metrics show cumulative count of Article Views (full-text article views including HTML views, PDF and ePub downloads, according to the available data) and Abstracts Views on Vision4Press platform.

Data correspond to usage on the plateform after 2015. The current usage metrics is available 48-96 hours after online publication and is updated daily on week days.

Initial download of the metrics may take a while.