Open Access

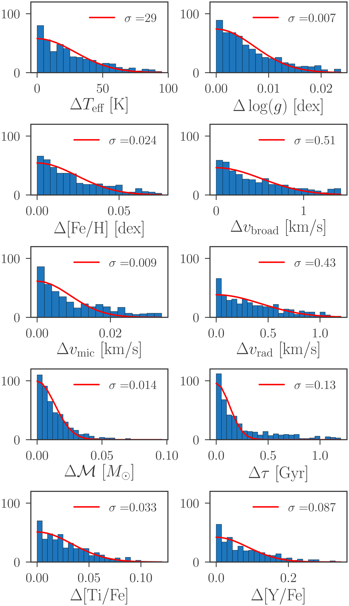
Fig. 5.

image

Histograms of parameter and abundance differences obtained from multiple observations of the same star. Shown are the absolute differences from two observations as well as from all three absolute difference combinations for three observations. A Gaussian distribution was fitted to the distributions (red curves). The obtained standard deviation is indicated in each panel.

Current usage metrics show cumulative count of Article Views (full-text article views including HTML views, PDF and ePub downloads, according to the available data) and Abstracts Views on Vision4Press platform.

Data correspond to usage on the plateform after 2015. The current usage metrics is available 48-96 hours after online publication and is updated daily on week days.

Initial download of the metrics may take a while.